Open Access

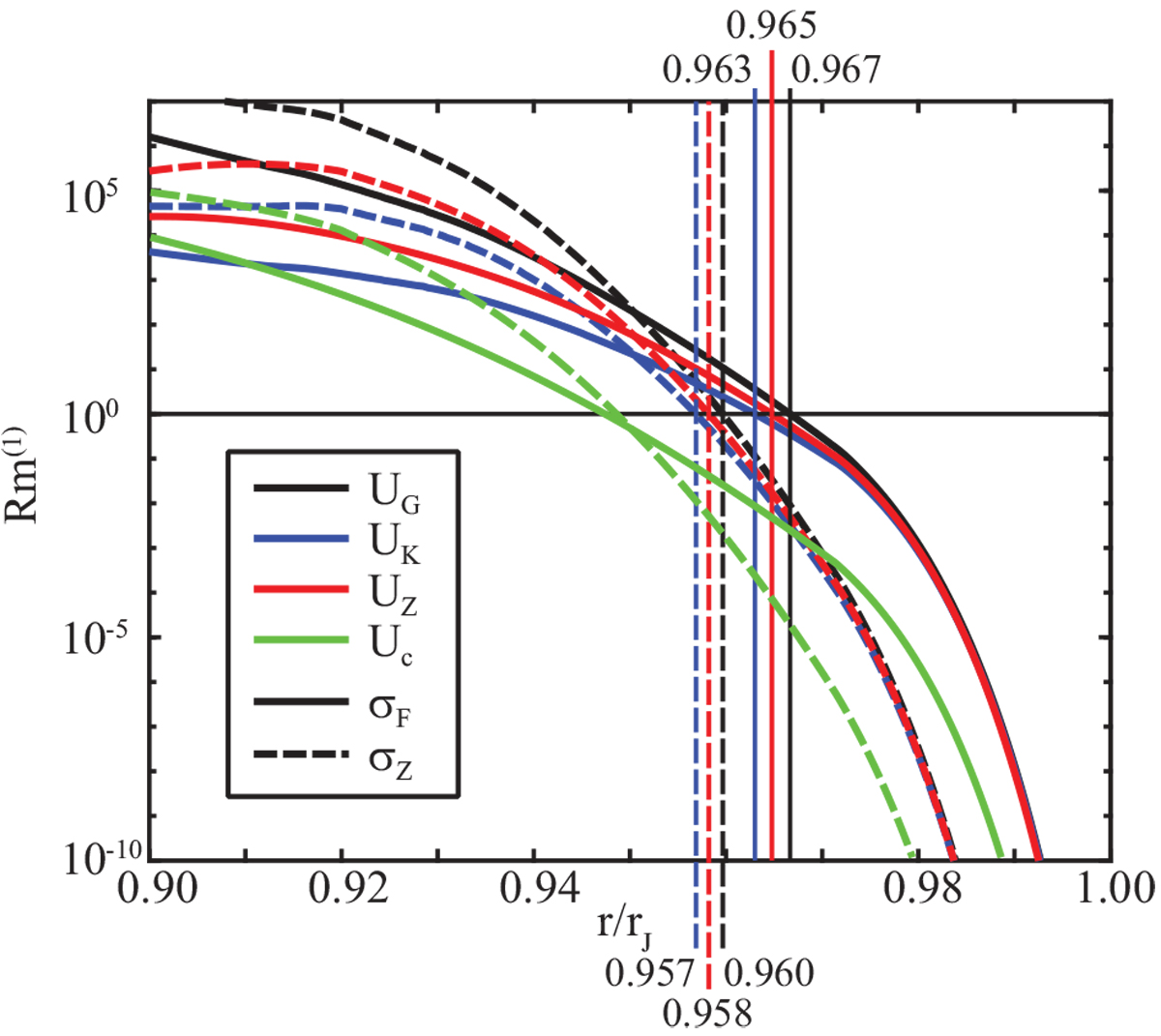
Fig. 3

image

Modified magnetic Reynolds numbers for the three zonal flow and the two conductivity models explored here. Vertical lines mark the radii r1 where Rm(1) = 1. Green lines show profiles for a typical convective velocity of 10 cm s−1 suggested by scaling laws.

Current usage metrics show cumulative count of Article Views (full-text article views including HTML views, PDF and ePub downloads, according to the available data) and Abstracts Views on Vision4Press platform.

Data correspond to usage on the plateform after 2015. The current usage metrics is available 48-96 hours after online publication and is updated daily on week days.

Initial download of the metrics may take a while.