Open Access

Fig. 4

image

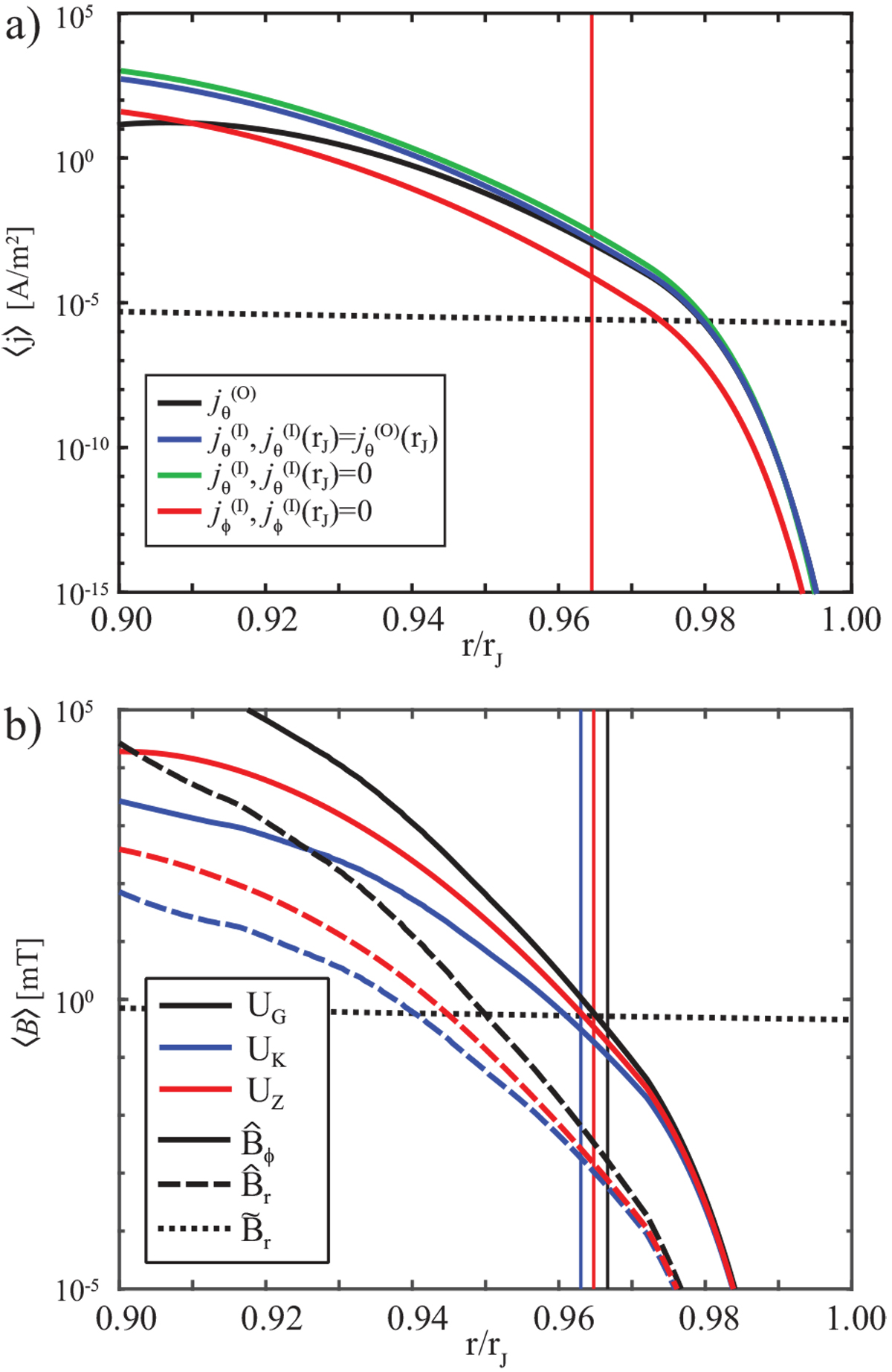
Panel a: rms current density estimates for flow model UZ and conductivity model σF. Panel b: estimates of rms radial and horizontal LIF. The profile of has been included for comparison. Vertical lines mark the radii where Rm(1) = 1 for the different flow models. Current density estimates j(O) and conductivity model σF have been used.

Current usage metrics show cumulative count of Article Views (full-text article views including HTML views, PDF and ePub downloads, according to the available data) and Abstracts Views on Vision4Press platform.

Data correspond to usage on the plateform after 2015. The current usage metrics is available 48-96 hours after online publication and is updated daily on week days.

Initial download of the metrics may take a while.