Open Access

Fig. 8

image

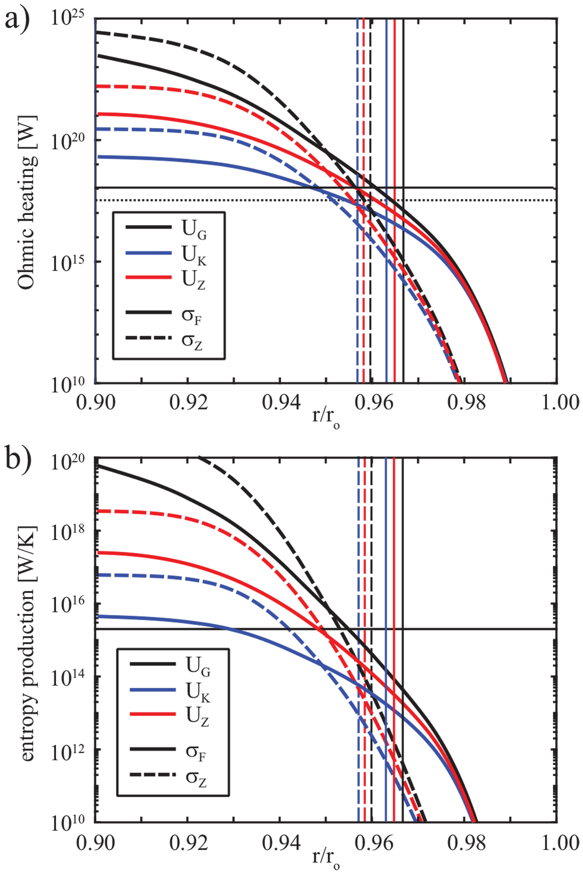
Profiles of panel a: Ohmic heating and panel b: entropy production in the layer above radius r for current estimate j(O). In (a) the solid horizontal line shows the total convective power of 1.2 × 1018 W, while the dotted horizontal line shows the heat flow of Qo = 3.35 × 1017 W from the interior of Jupiter. In (b) the horizontal line indicates the total dissipative entropy production predicted by the entropy flux ΘT = QoTo = 2.0 × 1015 W/K through the outer boundary. Vertical lines mark the radii r1 where Rm(1) = 1 (see Fig. 3).

Current usage metrics show cumulative count of Article Views (full-text article views including HTML views, PDF and ePub downloads, according to the available data) and Abstracts Views on Vision4Press platform.

Data correspond to usage on the plateform after 2015. The current usage metrics is available 48-96 hours after online publication and is updated daily on week days.

Initial download of the metrics may take a while.