Free Access

Fig. 2

image

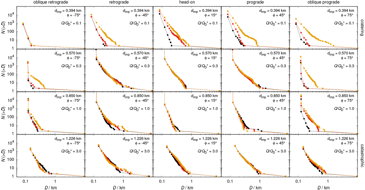
Cumulative size-frequency distributions N(>D) of synthetic families for Dpb = 10 km targets. Stationary targets are plotted in black; red and yellow plots correspond to targets with rotational period P = 3 h and P = 2 h, respectively.Columns 3–5 of the plot show prograde impacts (i.e., positive impact angles); Cols. 1 and 2 are retrograde impacts (i.e., negative impact angles).

Current usage metrics show cumulative count of Article Views (full-text article views including HTML views, PDF and ePub downloads, according to the available data) and Abstracts Views on Vision4Press platform.

Data correspond to usage on the plateform after 2015. The current usage metrics is available 48-96 hours after online publication and is updated daily on week days.

Initial download of the metrics may take a while.