Free Access

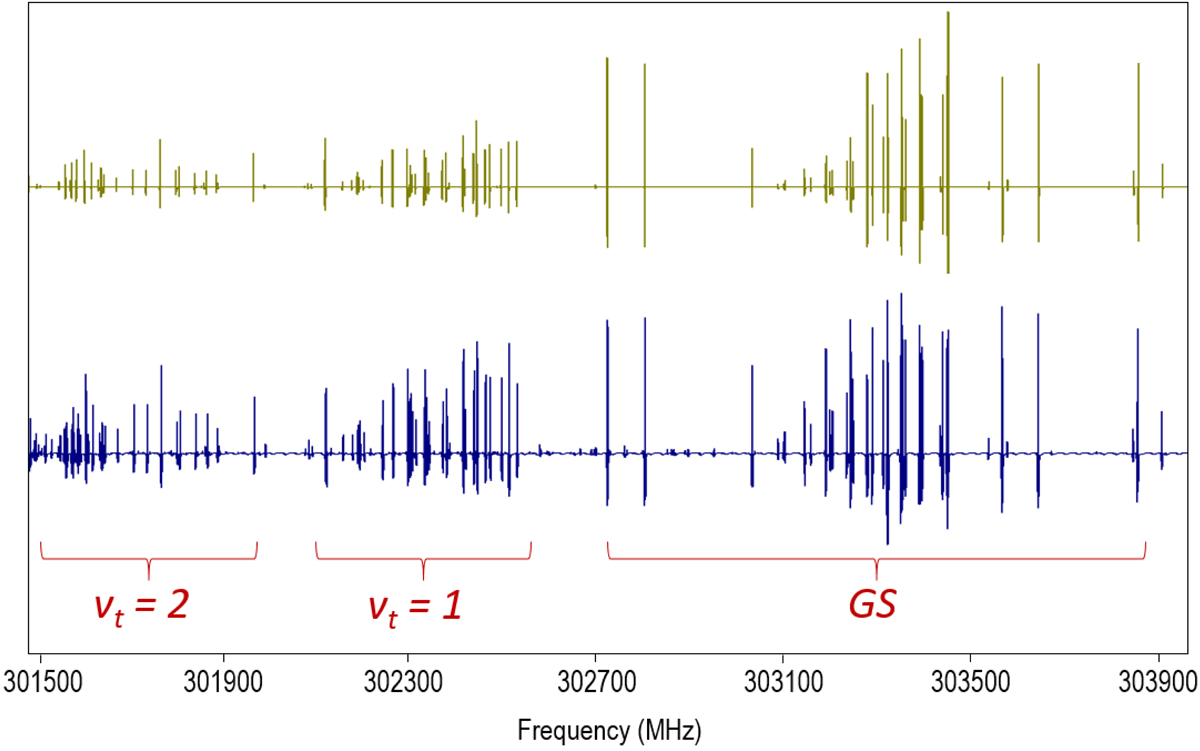
Fig. 1.

image

Detail of the CH3SH rotational spectrum showing a-type R-branch transitions with J = 12 ← 11. The experimental spectrum is shown in the lower trace. A simulation of CH3SH transitions up to vt = 2 is shown in the upper trace.

Current usage metrics show cumulative count of Article Views (full-text article views including HTML views, PDF and ePub downloads, according to the available data) and Abstracts Views on Vision4Press platform.

Data correspond to usage on the plateform after 2015. The current usage metrics is available 48-96 hours after online publication and is updated daily on week days.

Initial download of the metrics may take a while.