Free Access

Fig. 4

image

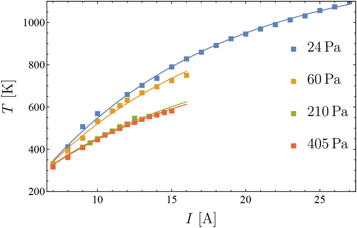
Temperature calibration measurements for the basalt aggregates at ambient pressures p ∈ [24, 405] Pa and laser driver current I ∈ [7, 27] A. The temperature is measured with a thermal camera assuming an emissivity ɛ = 0.72 for basalt (Golden 2013). The function , with fit parameters T0, T (p1), α, IΔ and I0, is fitted to the data and is used to determine the temperatures for the experimental runs.

Current usage metrics show cumulative count of Article Views (full-text article views including HTML views, PDF and ePub downloads, according to the available data) and Abstracts Views on Vision4Press platform.

Data correspond to usage on the plateform after 2015. The current usage metrics is available 48-96 hours after online publication and is updated daily on week days.

Initial download of the metrics may take a while.