Free Access

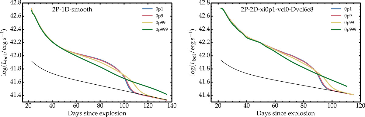
Fig. A.2.

image

Illustration of the influence of the albedo on type II-P SN radiation. Left: bolometric light curves for 12 M 2P smooth 1D ejecta but adopting a fixed albedo of 0.1 (absorption dominates the opacity), 0.9, 0.99, and 0.999 (scattering vastly dominates the opacity). Right: same as left, but now for a 2P-2D clumped ejecta with ξ0 = 0.1, Vcl = 0 km s−1 and ΔVcl = 6000 km s−1.

Current usage metrics show cumulative count of Article Views (full-text article views including HTML views, PDF and ePub downloads, according to the available data) and Abstracts Views on Vision4Press platform.

Data correspond to usage on the plateform after 2015. The current usage metrics is available 48-96 hours after online publication and is updated daily on week days.

Initial download of the metrics may take a while.