Free Access

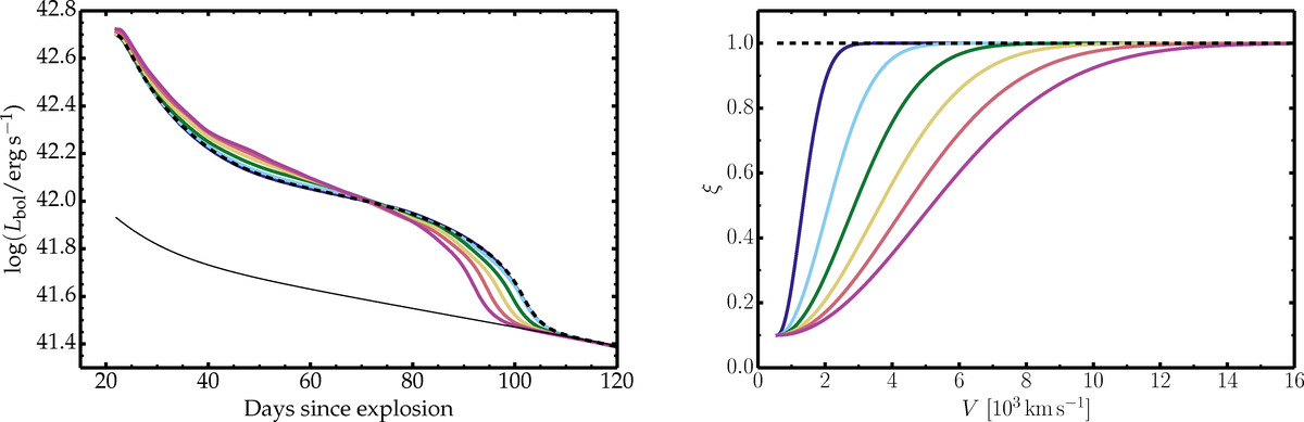
Fig. 6.

image

Bolometric light curves (left) for a set of 2D clumped models for the 2P case in which the radial clumping profile ξ(V) is modified. The thin black line corresponds to the instantaneous decay power. For the clumping parameters, the present set uses ξ0 = 0.1, Vcl = 0 km s−1, and ΔVcl ranges between 1000 and 6000 km s−1 (right). The dashed line corresponds to the 1D smooth model counterpart.

Current usage metrics show cumulative count of Article Views (full-text article views including HTML views, PDF and ePub downloads, according to the available data) and Abstracts Views on Vision4Press platform.

Data correspond to usage on the plateform after 2015. The current usage metrics is available 48-96 hours after online publication and is updated daily on week days.

Initial download of the metrics may take a while.