Open Access

Fig. 8.

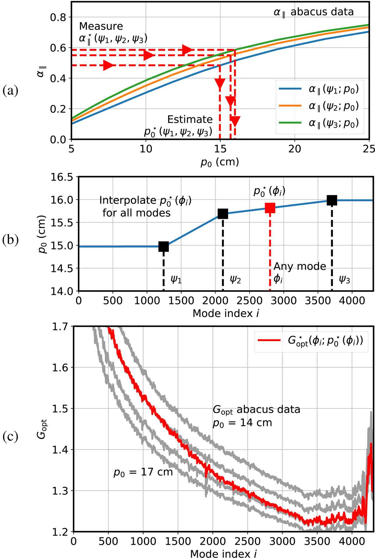
image

Successive steps of the abacus-based interpolation process. (a) For each of the K dithered modes ψi, the measurement is mapped to a wavefront PSD class identified by . (b) is extrapolated from the dithered ψi to all DM basis modes ϕi. (c) From , an optimal OGC is interpolated for all basis modes. Figures show actual simulation data processed from the dithering sequence shown in Fig. 6, with α (ψi) = 0.48, 0.54 and 0.58 and , 15.7 and 16.0 cm. The turbulence r0 is 14.5 cm.

Current usage metrics show cumulative count of Article Views (full-text article views including HTML views, PDF and ePub downloads, according to the available data) and Abstracts Views on Vision4Press platform.

Data correspond to usage on the plateform after 2015. The current usage metrics is available 48-96 hours after online publication and is updated daily on week days.

Initial download of the metrics may take a while.