Free Access

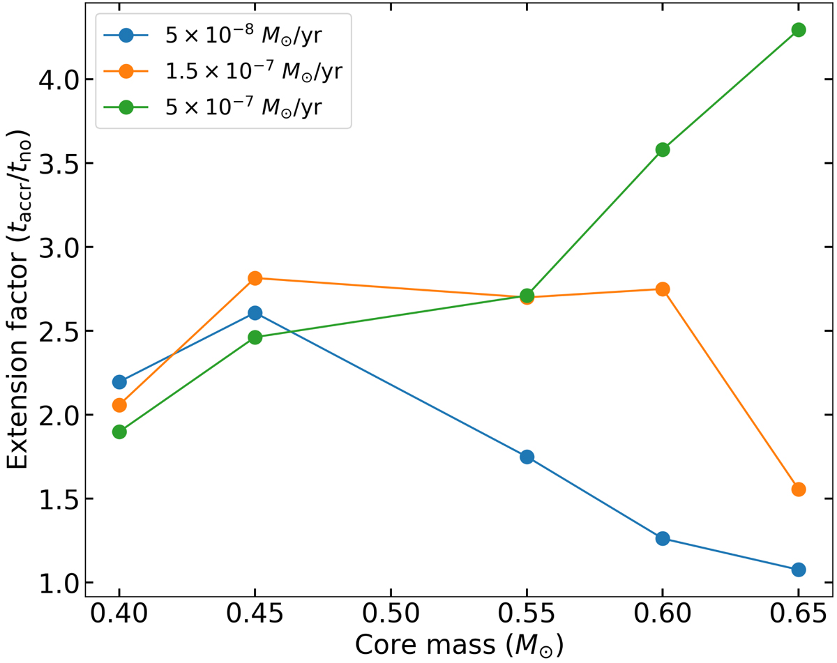
Fig. 13.

image

Factors by which the evolution of stars with different core masses are extended for three different initial accretion rates: 5 × 10−8, 1.5 × 10−7, and 5 × 10−7 M yr−1 for blue, orange, and green, respectively. taccr is the timescale at which the star evolves from Teff = 4000 K to Teff = 50 000 K while accreting gas from a disc with mass 10−2 M. tno is the same as taccr without accretion.

Current usage metrics show cumulative count of Article Views (full-text article views including HTML views, PDF and ePub downloads, according to the available data) and Abstracts Views on Vision4Press platform.

Data correspond to usage on the plateform after 2015. The current usage metrics is available 48-96 hours after online publication and is updated daily on week days.

Initial download of the metrics may take a while.