Free Access

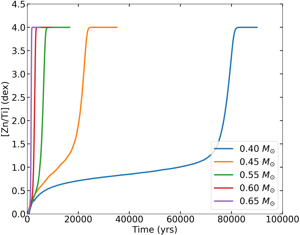
Fig. 14.

image

Time evolution of depletion for post-RGB/AGB stars of different core masses. All the models have an initial accretion rate of 5 × 10−7M yr−1, an initial disc mass of 10−2M, and start their evolution at 4000 K.

Current usage metrics show cumulative count of Article Views (full-text article views including HTML views, PDF and ePub downloads, according to the available data) and Abstracts Views on Vision4Press platform.

Data correspond to usage on the plateform after 2015. The current usage metrics is available 48-96 hours after online publication and is updated daily on week days.

Initial download of the metrics may take a while.