Free Access

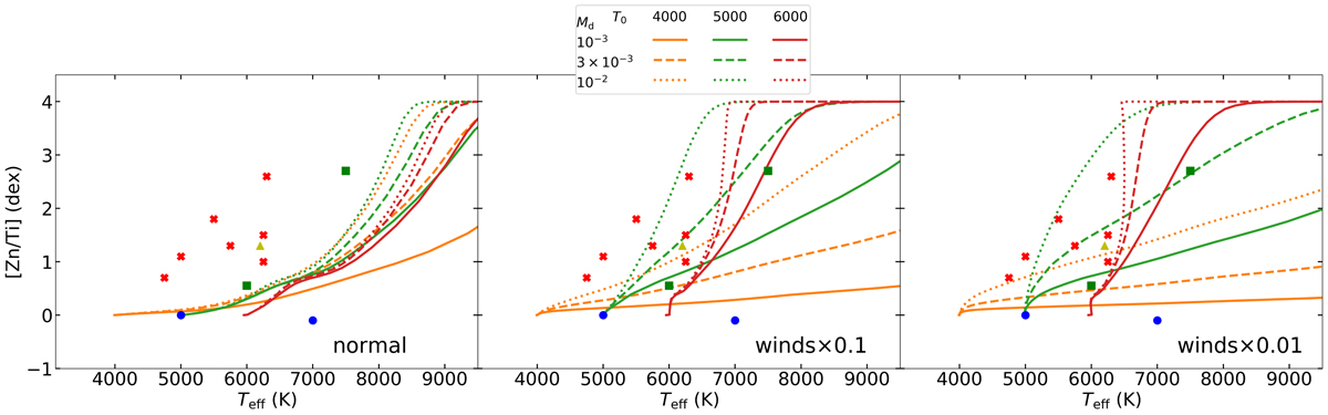
Fig. 16.

image

Comparison of 0.55-M models with 5 × 10−8M yr−1 initial accretion rate for different stellar-wind strengths. Left panel: models with the normal wind strength used throughout this work. Middle panel: models with a stellar wind that is weaker by a factor of ten, while right panel: models with two orders of magnitude weaker wind.

Current usage metrics show cumulative count of Article Views (full-text article views including HTML views, PDF and ePub downloads, according to the available data) and Abstracts Views on Vision4Press platform.

Data correspond to usage on the plateform after 2015. The current usage metrics is available 48-96 hours after online publication and is updated daily on week days.

Initial download of the metrics may take a while.