Free Access

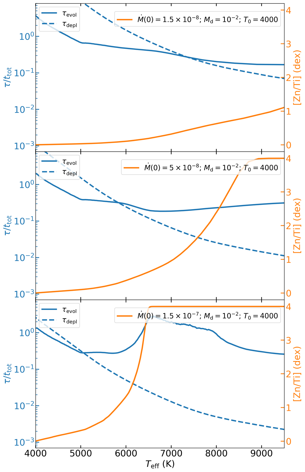
Fig. 7.

image

Depletion and evolution timescales vs depletion value for a 0.55-M model for , 5 × 10−8, and 1.5 × 10−7 M yr−1 (top, middle, and bottom panel, respectively) with Md = 10−2 M and T0 = 4000 K. Orange solid lines show the evolution of the models in the Teff–[Zn/Ti] plane. Blue solid and dashed lines show evolution and depletion timescales, respectively. These timescales have been normalised by dividing by the total evolution time of the model (7000, 13 000, and 21 000 years for top, middle, and bottom, respectively).

Current usage metrics show cumulative count of Article Views (full-text article views including HTML views, PDF and ePub downloads, according to the available data) and Abstracts Views on Vision4Press platform.

Data correspond to usage on the plateform after 2015. The current usage metrics is available 48-96 hours after online publication and is updated daily on week days.

Initial download of the metrics may take a while.