Free Access

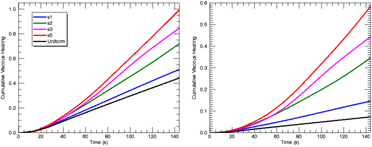
Fig. 19.

image

Cumulative volume integrated viscous heating for the braided and uniform field simulations. We show the heating for ν = 10−3 in the left-hand panel and for ν = 10−4 in the right-hand panel. In each case we have normalised by the total heating obseverd in the s5 simulation with ν = 10−3.

Current usage metrics show cumulative count of Article Views (full-text article views including HTML views, PDF and ePub downloads, according to the available data) and Abstracts Views on Vision4Press platform.

Data correspond to usage on the plateform after 2015. The current usage metrics is available 48-96 hours after online publication and is updated daily on week days.

Initial download of the metrics may take a while.