Free Access

Fig. 2

image

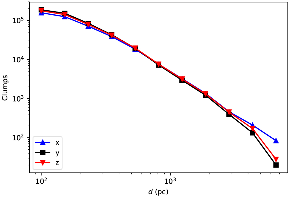
Number of extracted clumps as a function of cloud distance. The curves correspond to the three different view directions and show the total number of clumps in the 18 snapshots.

Current usage metrics show cumulative count of Article Views (full-text article views including HTML views, PDF and ePub downloads, according to the available data) and Abstracts Views on Vision4Press platform.

Data correspond to usage on the plateform after 2015. The current usage metrics is available 48-96 hours after online publication and is updated daily on week days.

Initial download of the metrics may take a while.