Open Access

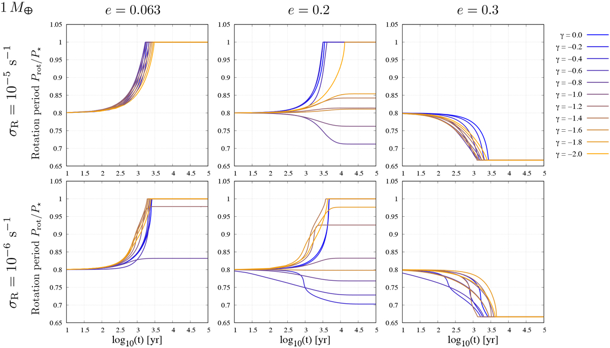
Fig. 9

image

Evolution of normalised rotation period ProtP as function of time (yr) in logarithmic scale. This is given in the case of an Earth-sized planet orbiting the TRAPPIST-1 star with a six-day orbital period. The Rayleigh drag frequency of the ocean is set to σR = 10−5 s−1 for cases of strong drag (top panels), and to σR = 10−6 s−1 for cases of weak drag (bottom panels). The planet eccentricity takes the values e = 0.063, 0.2, and 0.3 from left to right. In each panel, a set of planets with various ocean depths is studied. These configurations are parametrised by , where the ocean depth is given in kilometers. The parameter γ is sampled from −2 (the driest case of the sample, solid orange line) to 0 (the most humid case, solid blue line). Values used for the planet parameters are given by Table 1.

Current usage metrics show cumulative count of Article Views (full-text article views including HTML views, PDF and ePub downloads, according to the available data) and Abstracts Views on Vision4Press platform.

Data correspond to usage on the plateform after 2015. The current usage metrics is available 48-96 hours after online publication and is updated daily on week days.

Initial download of the metrics may take a while.