Free Access

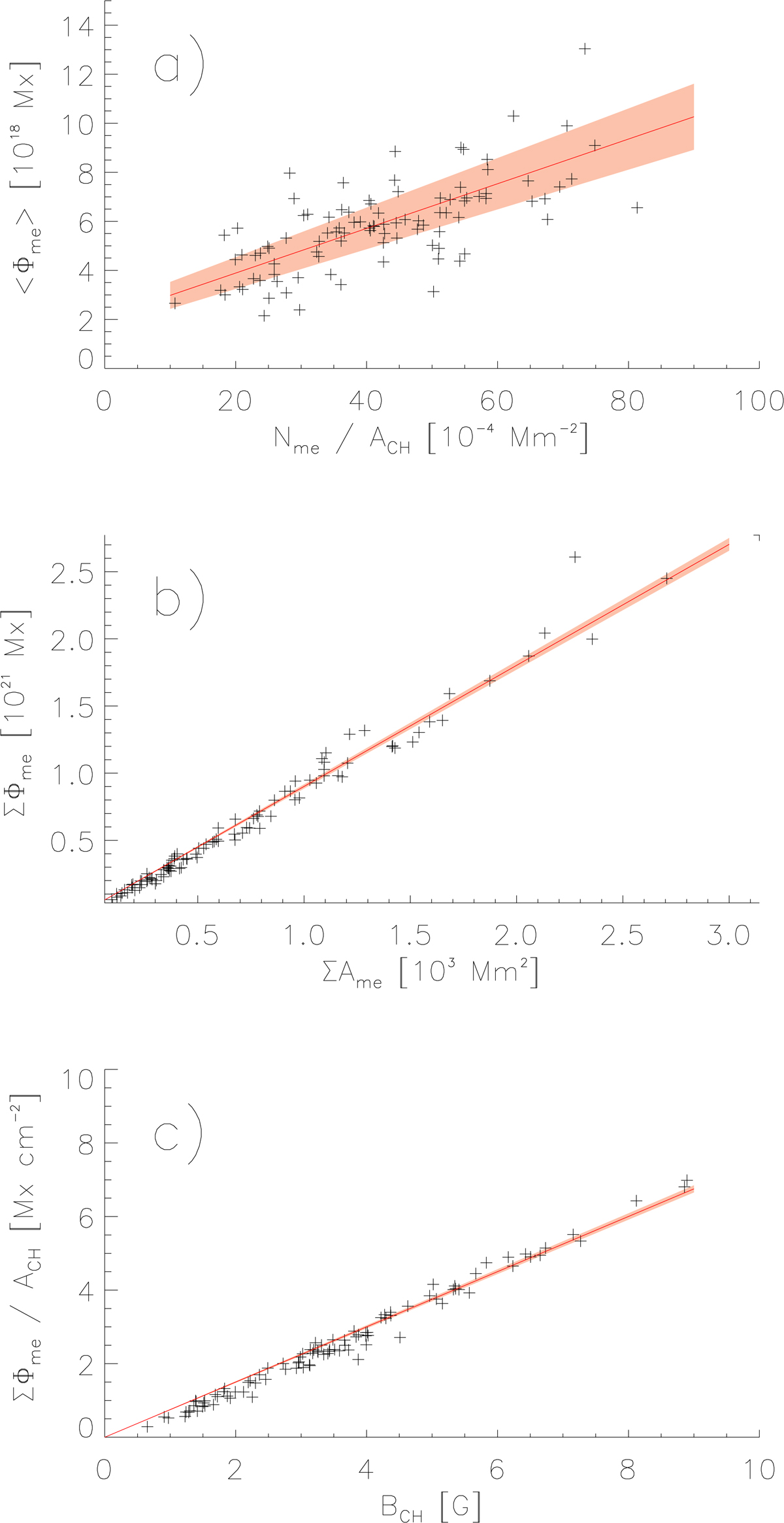
Fig. 12.

image

Density of magnetic elements with lifetimes of > 40 h vs. their average magnetic flux derived for each coronal hole (a). Total unbalanced magnetic flux which arises from these magnetic elements versus the total area they cover (b). Total unbalanced magnetic flux that arises from theses magnetic elements per coronal hole area vs. the absolute mean magnetic field densities of the coronal holes (c). The shaded areas give the 1σ uncertainties of the corresponding fits.

Current usage metrics show cumulative count of Article Views (full-text article views including HTML views, PDF and ePub downloads, according to the available data) and Abstracts Views on Vision4Press platform.

Data correspond to usage on the plateform after 2015. The current usage metrics is available 48-96 hours after online publication and is updated daily on week days.

Initial download of the metrics may take a while.