Free Access

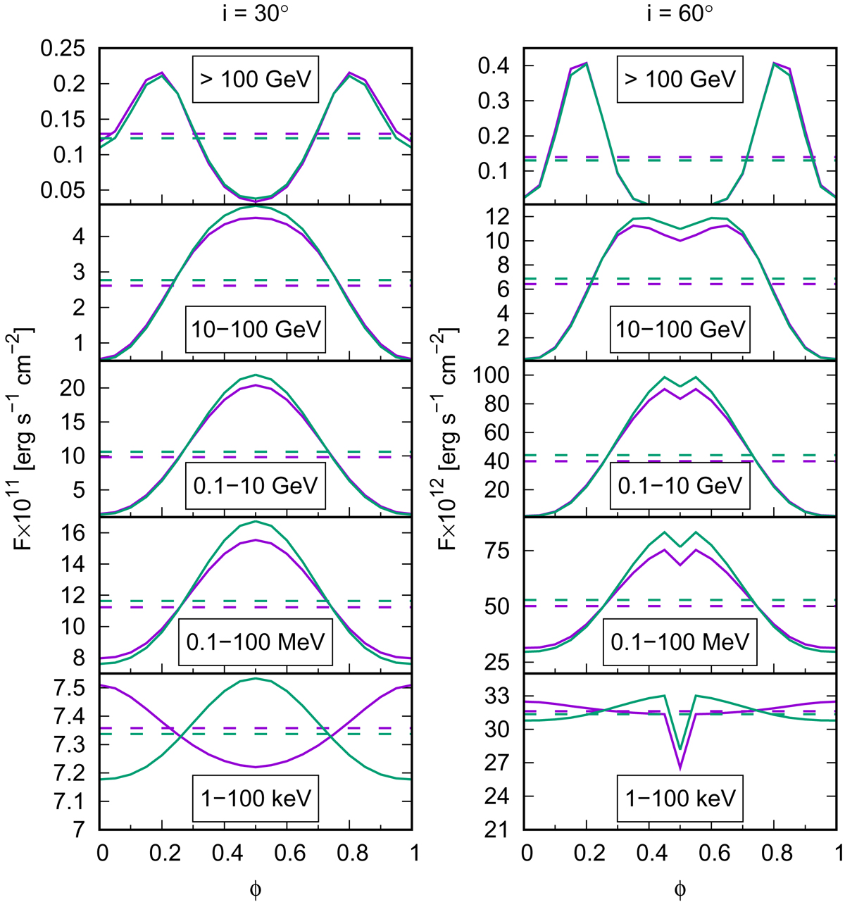
Fig. 10.

image

Integrated light curves for γj = 1.2, ηB = 10−2, i = 30° and 60°, and different photon energy ranges. Purple lines represent the values for bent jets such as those in Fig. 2, whereas green lines represent the results for straight jets. Dashed lines show the orbit-averaged flux values. Note the change in the flux normalization for each i.

Current usage metrics show cumulative count of Article Views (full-text article views including HTML views, PDF and ePub downloads, according to the available data) and Abstracts Views on Vision4Press platform.

Data correspond to usage on the plateform after 2015. The current usage metrics is available 48-96 hours after online publication and is updated daily on week days.

Initial download of the metrics may take a while.