Free Access

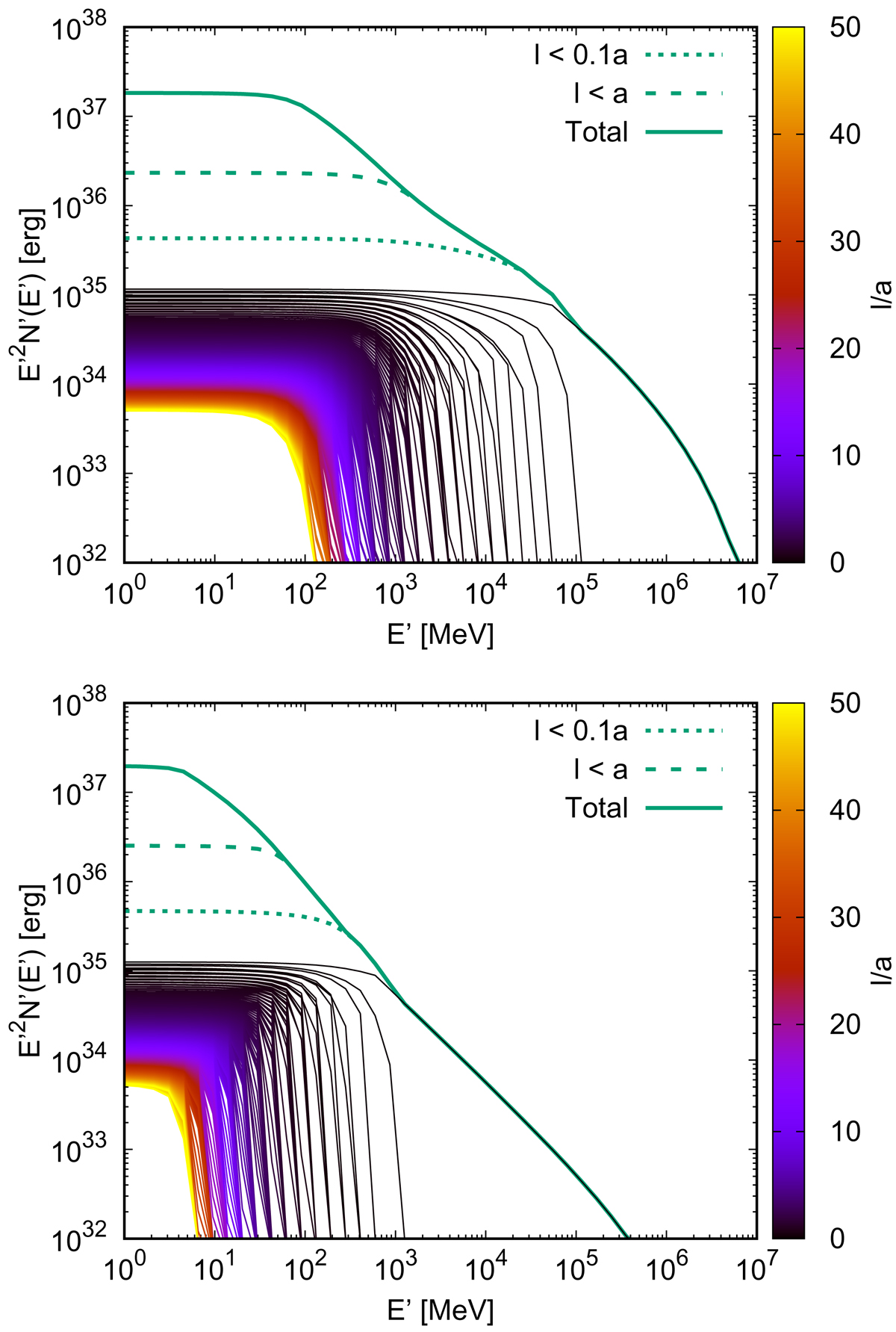
Fig. 3.

image

Energy distribution of the electrons along the jet up to 0.1a (dotted line), a (dashed line), and the whole jet (solid line), for γj = 1.2, ηB = 10−2 (top panel), and ηB = 1 (bottom panel). The contribution of the individual jet segments is color-coded, with the color scale representing the position of each segment along the jet. Segments have a constant length of dl = 1011 cm ≈ 0.03a.

Current usage metrics show cumulative count of Article Views (full-text article views including HTML views, PDF and ePub downloads, according to the available data) and Abstracts Views on Vision4Press platform.

Data correspond to usage on the plateform after 2015. The current usage metrics is available 48-96 hours after online publication and is updated daily on week days.

Initial download of the metrics may take a while.