Open Access

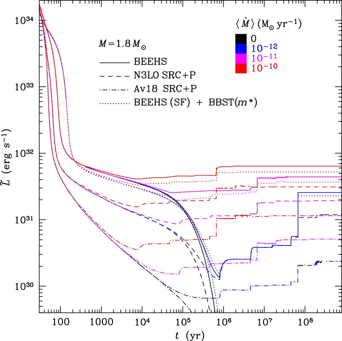
Fig. 13.

image

Long-term evolution of the quasi-steady thermal luminosities for a neutron star with M = 1.8 M without accretion and with long-term steady accretion at different rates ⟨⟩ for different physics inputs in the core. The model with the standard nucleon superfluidity and effective masses consistent with the BSk24 EoS (solid lines) is compared with the results of using suppressed neutron-triplet superfluidity in the core according to models of Ding et al. (2016) “N3LO SRC+P” (dashed lines) and “Av18 SRC+P” (dot-dashed lines), or with the alternative model (BBST instead of BSk24) for the nucleon effective masses (dotted curves).

Current usage metrics show cumulative count of Article Views (full-text article views including HTML views, PDF and ePub downloads, according to the available data) and Abstracts Views on Vision4Press platform.

Data correspond to usage on the plateform after 2015. The current usage metrics is available 48-96 hours after online publication and is updated daily on week days.

Initial download of the metrics may take a while.