Open Access

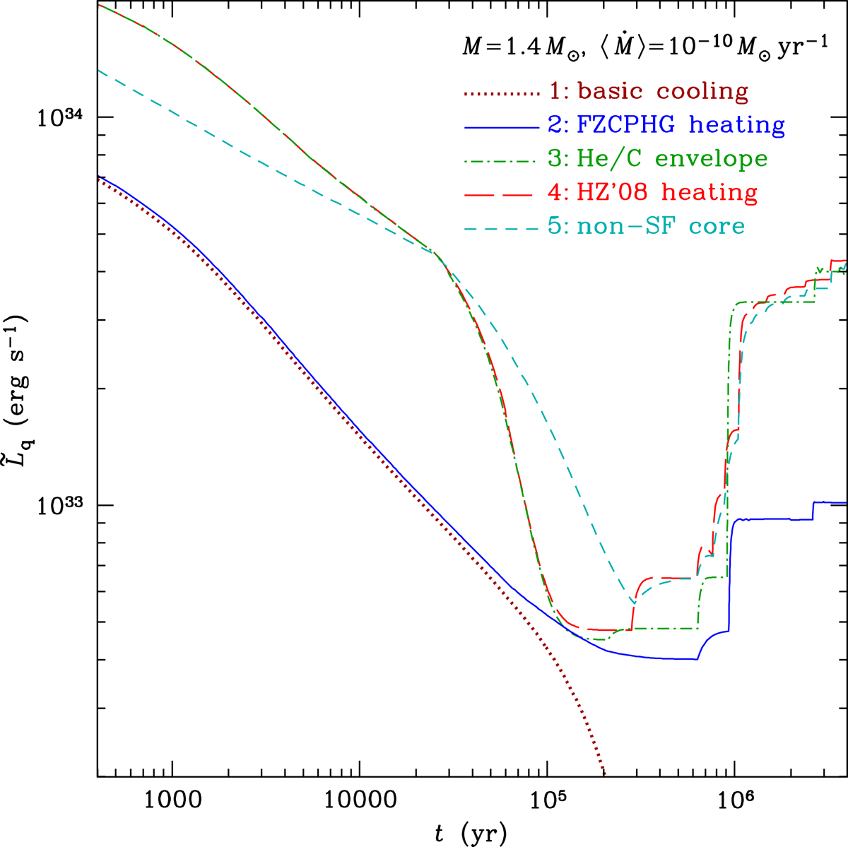
Fig. 5.

image

Illustration of the effects of differences in the physics input on the long-term evolution of a neutron star. Redshifted thermal luminosity is shown as a function of time. Dotted line (1) – Basic cooling model. Solid line (2) – Same model with heating according to the FZCPHG model, calculated assuming that the accretion starts shortly after the birth of the neutron star with constant average rate of 10−10M yr−1. Dot-dashed line (3) – Same with replacement of the iron heat-insulating envelope to an accreted He/C envelope. Long-dashed line (4) – Same accreted envelope, but the alternative heating model. Short-dashed line (5) – Same but without baryon superfluidity in the core.

Current usage metrics show cumulative count of Article Views (full-text article views including HTML views, PDF and ePub downloads, according to the available data) and Abstracts Views on Vision4Press platform.

Data correspond to usage on the plateform after 2015. The current usage metrics is available 48-96 hours after online publication and is updated daily on week days.

Initial download of the metrics may take a while.