Open Access

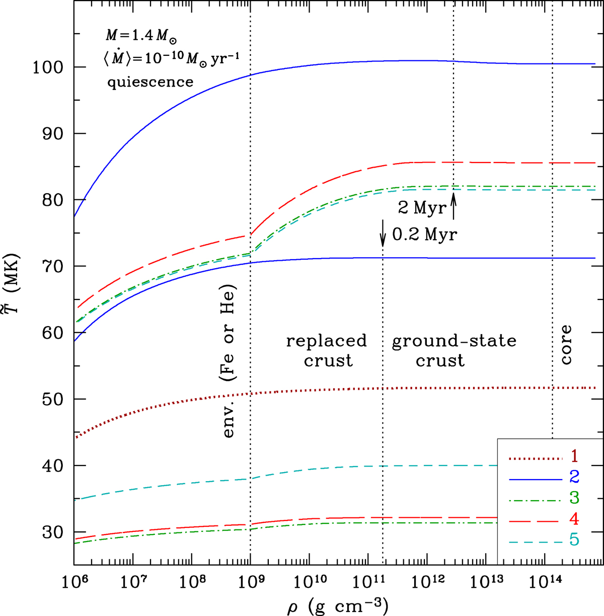
Fig. 6.

image

Redshifted temperature profiles for the same models as in Fig. 5 drawn with the same line styles at t = 2 × 105 yr (the lower curves) and t = 2 × 106 yr (the upper curves). The vertical dotted lines separate the iron or accreted envelope, the accreted (replaced) crust, the nonaccreted (ground-state) crust, and the core.

Current usage metrics show cumulative count of Article Views (full-text article views including HTML views, PDF and ePub downloads, according to the available data) and Abstracts Views on Vision4Press platform.

Data correspond to usage on the plateform after 2015. The current usage metrics is available 48-96 hours after online publication and is updated daily on week days.

Initial download of the metrics may take a while.