Open Access

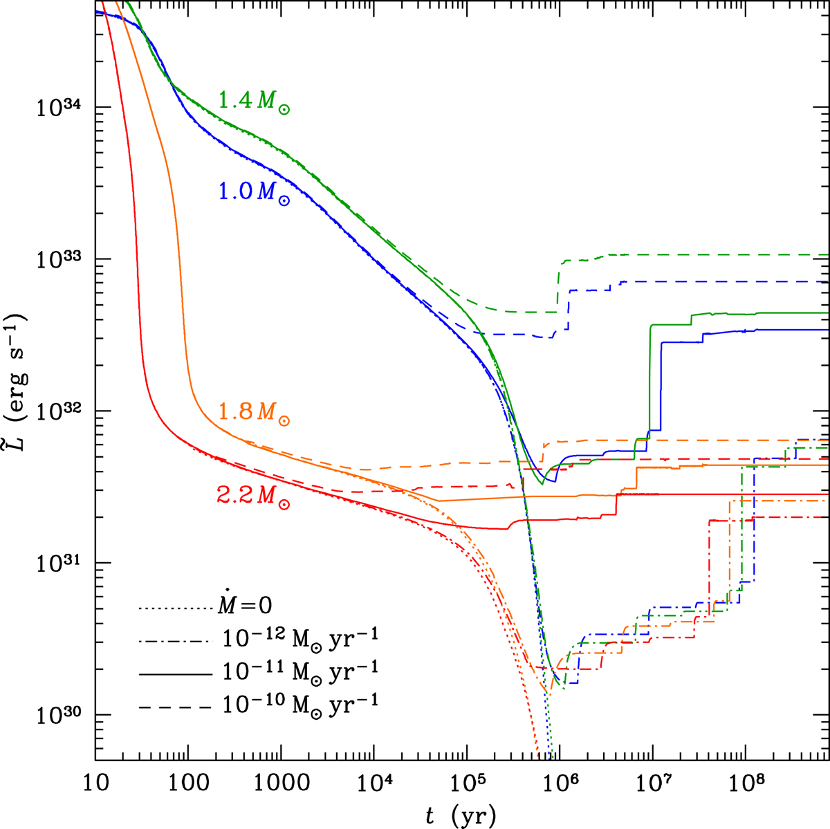
Fig. 7.

image

Examples of the long-term evolution of the quasi-steady thermal luminosities for different neutron star masses (coded with colors and labeled near the curves) and different average mass accretion rates (shown with different line styles, according to the legend).

Current usage metrics show cumulative count of Article Views (full-text article views including HTML views, PDF and ePub downloads, according to the available data) and Abstracts Views on Vision4Press platform.

Data correspond to usage on the plateform after 2015. The current usage metrics is available 48-96 hours after online publication and is updated daily on week days.

Initial download of the metrics may take a while.