Free Access

Fig. 15

image

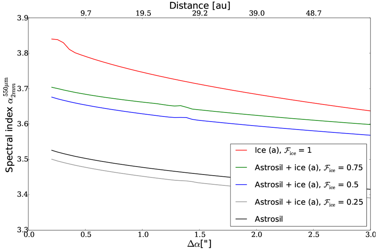
Radial cut of spectral index maps for models using the different fractional ratio of ice (0–1). Ice (a) and astrosil indicate amorphous ice and astrosilicate, respectively.

Current usage metrics show cumulative count of Article Views (full-text article views including HTML views, PDF and ePub downloads, according to the available data) and Abstracts Views on Vision4Press platform.

Data correspond to usage on the plateform after 2015. The current usage metrics is available 48-96 hours after online publication and is updated daily on week days.

Initial download of the metrics may take a while.