Free Access

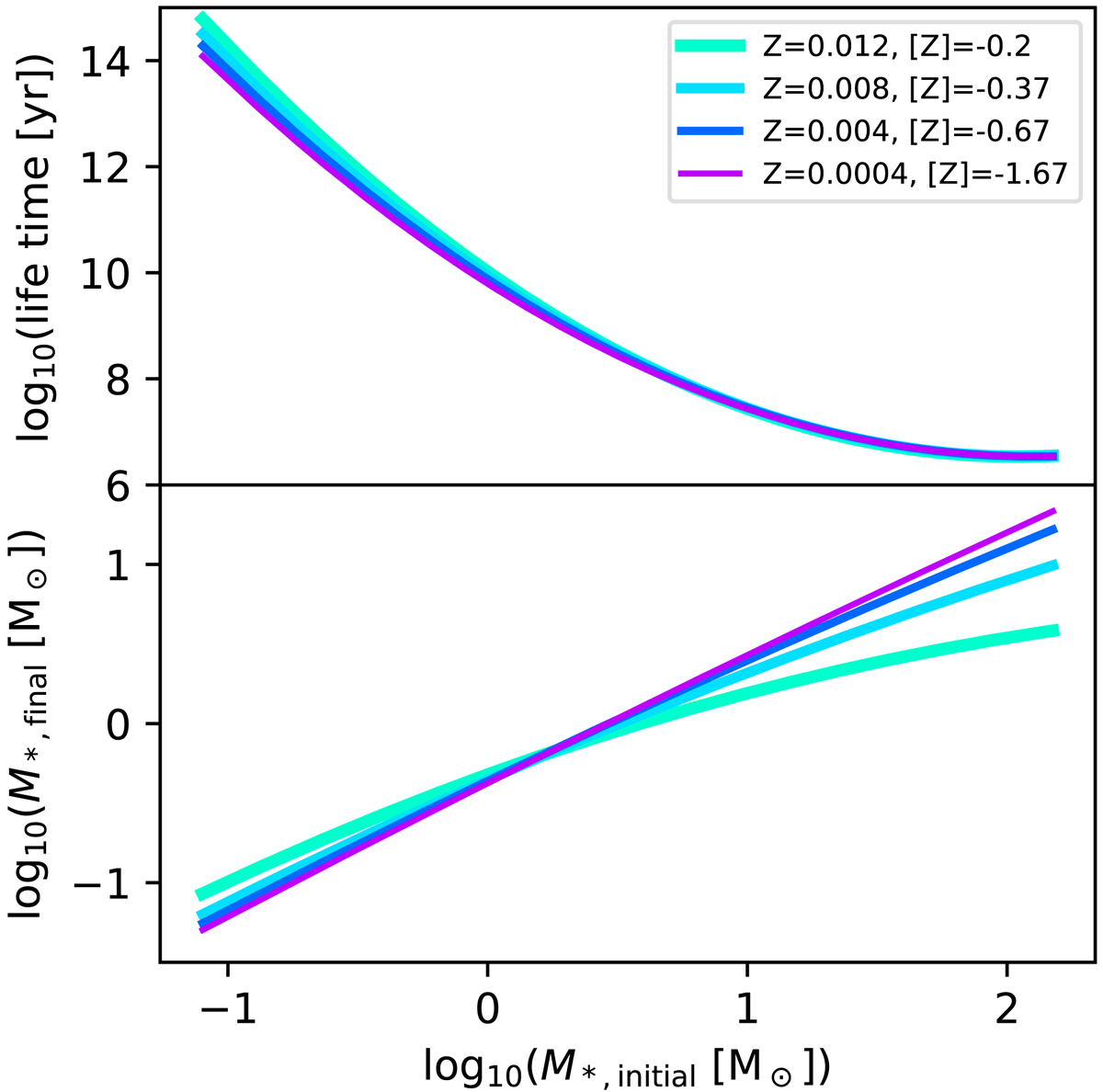
Fig. 3.

image

Lifetime (upper panel) and remnant mass, M*, final (lower panel), of a star as a function of its initial mass, M*, initial, and metal mass fraction, Z (or [Z] as defined in Eq. (5)). The shown relations are one-dimensional smoothing spline fits to the stellar evolution tables given by Marigo (2001) and Portinari et al. (1998) for AGB and massive stars, respectively. The colour-coding is the same as in Figs. 5 and A.1.

Current usage metrics show cumulative count of Article Views (full-text article views including HTML views, PDF and ePub downloads, according to the available data) and Abstracts Views on Vision4Press platform.

Data correspond to usage on the plateform after 2015. The current usage metrics is available 48-96 hours after online publication and is updated daily on week days.

Initial download of the metrics may take a while.