Free Access

Fig. 26

image

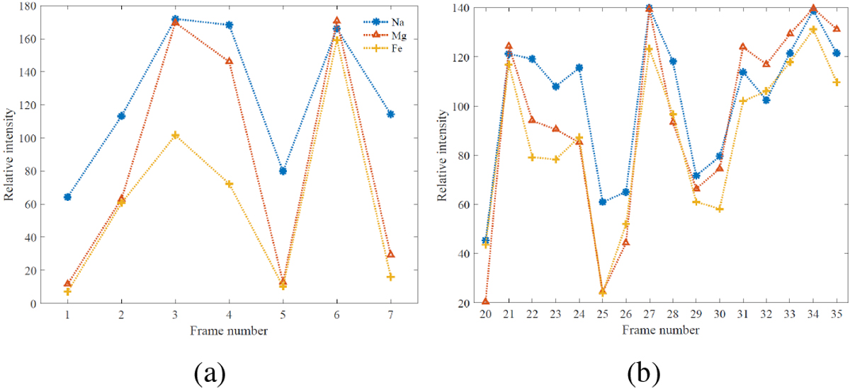
Monochromatic light curves of Fe-rich meteors M20150508_002949 (a) and M20170301_201252 (b) showing multi- ple flares. Here, the Fe I monochromatic light curve is only represented by the intensity of the 526.9 nm line. One frame corresponds to a time period of 1/12 s.

Current usage metrics show cumulative count of Article Views (full-text article views including HTML views, PDF and ePub downloads, according to the available data) and Abstracts Views on Vision4Press platform.

Data correspond to usage on the plateform after 2015. The current usage metrics is available 48-96 hours after online publication and is updated daily on week days.

Initial download of the metrics may take a while.