Free Access

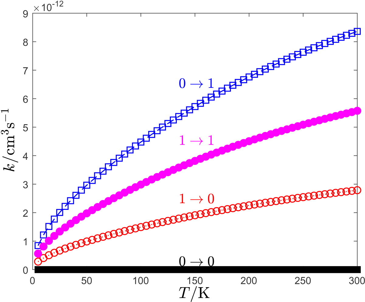
Fig. 3.

image

Temperature dependence of state-to-state hyperfine rate coefficients for spin-orbit conserving collisions of OH(X2Π1/2) and He. The initial and final levels are j = 0.5e and j = 0.5f, respectively. The initial and final F quantum numbers are shown in the graph.

Current usage metrics show cumulative count of Article Views (full-text article views including HTML views, PDF and ePub downloads, according to the available data) and Abstracts Views on Vision4Press platform.

Data correspond to usage on the plateform after 2015. The current usage metrics is available 48-96 hours after online publication and is updated daily on week days.

Initial download of the metrics may take a while.