Free Access

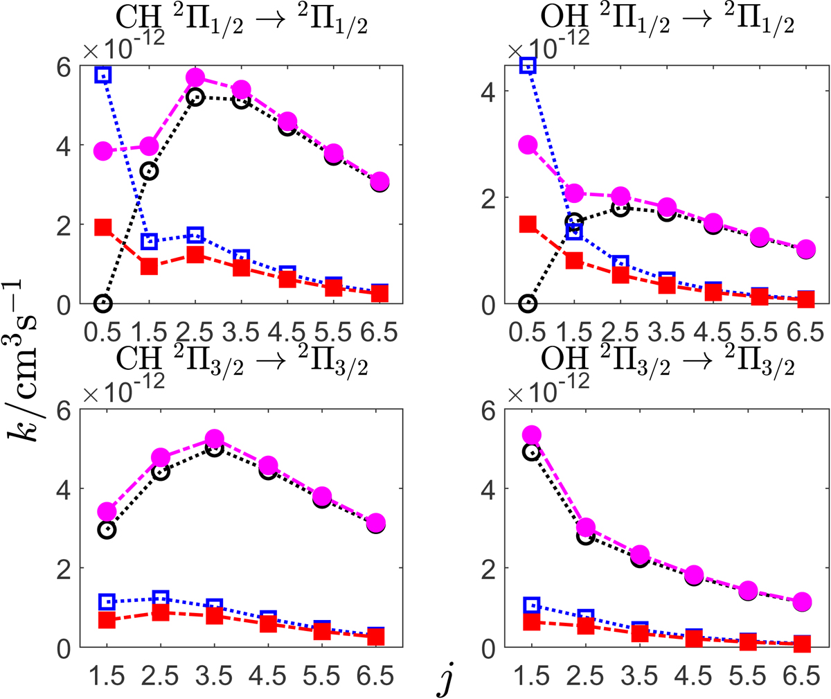
Fig. 6.

image

Comparison between state-to-state Λ-doublet e → f changing hyperfine rate coefficients at 100 K for spin-orbit conserving collisions of CH/OH (X, v = 0) and He. The spin-orbit states are shown in the graph. Fmax → Fmax are shown in filled magenta circles, Fmin → Fmin transitions are shown in empty black circles, Fmin → Fmax in empty blue squares, and Fmax → Fmin in filled red squares.

Current usage metrics show cumulative count of Article Views (full-text article views including HTML views, PDF and ePub downloads, according to the available data) and Abstracts Views on Vision4Press platform.

Data correspond to usage on the plateform after 2015. The current usage metrics is available 48-96 hours after online publication and is updated daily on week days.

Initial download of the metrics may take a while.