Free Access

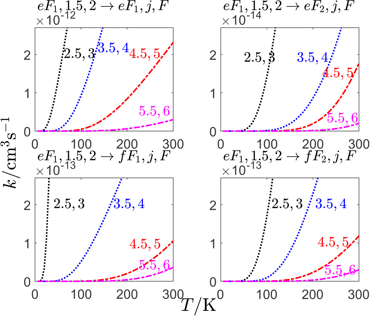
Fig. 8.

image

Comparison between state-to-state rotational-excitation hyperfine rate coefficients for spin-orbit conserving (left panel) and changing (right panel) collisions of OH (2Π3/2, v = 0, j = 1.5e, F = 2) and He. The e → e transitions are shown in the upper panel and e → f transitions are shown in the lower panel. The final j and F quantum numbers are shown next to the corresponding curves.

Current usage metrics show cumulative count of Article Views (full-text article views including HTML views, PDF and ePub downloads, according to the available data) and Abstracts Views on Vision4Press platform.

Data correspond to usage on the plateform after 2015. The current usage metrics is available 48-96 hours after online publication and is updated daily on week days.

Initial download of the metrics may take a while.