Open Access
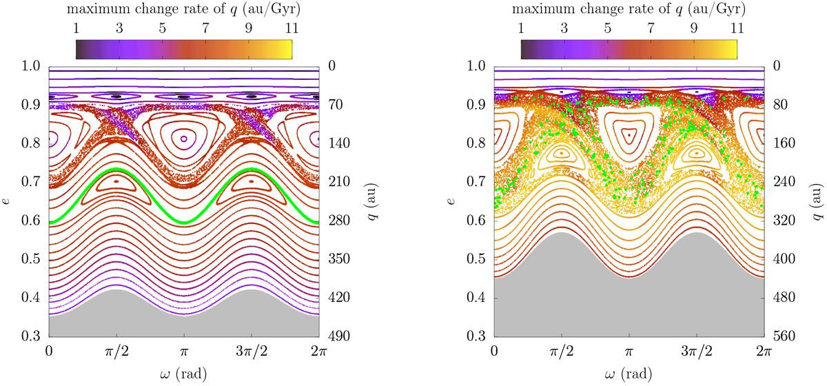
Fig. 16

Same as Fig. 15 for the parameters of the Planet 9 hypothesised by Batygin & Brown (2016). Left: nominal orbital elements (see text). Right: semi-major axis increased by 100 au. In both panels, the largest islands are due to the resonances ω + Ω (above) and 2ω + 3Ω (below).
Current usage metrics show cumulative count of Article Views (full-text article views including HTML views, PDF and ePub downloads, according to the available data) and Abstracts Views on Vision4Press platform.
Data correspond to usage on the plateform after 2015. The current usage metrics is available 48-96 hours after online publication and is updated daily on week days.
Initial download of the metrics may take a while.