Free Access

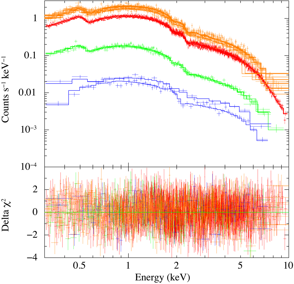
Fig. 1.

image

XMM-Newton spectra of J1023. Spectra are shown in the top panel. Orange refers to flare data, red to high mode data, green to low mode data, and blue (one XMM-Newton and one Chandra) to data in quiescence. Bottom panel: residuals are shown with the same colour coding.

Current usage metrics show cumulative count of Article Views (full-text article views including HTML views, PDF and ePub downloads, according to the available data) and Abstracts Views on Vision4Press platform.

Data correspond to usage on the plateform after 2015. The current usage metrics is available 48-96 hours after online publication and is updated daily on week days.

Initial download of the metrics may take a while.