Free Access

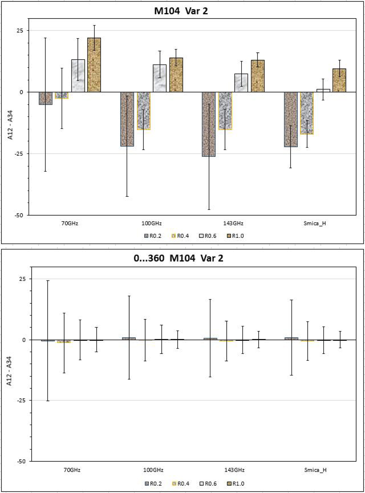
Fig. 4.

image

Temperature asymmetry toward (first panel) the M 104 galaxy in μK (with the standard errors) of the Variant 2 (A1A2–A3A4), in the four considered Planck bands (see text for details) within four radial distances of 0.2° (R0.2), 0.4° (R0.4), 0.6° (R0.6), and 1° (R1.0); and (second panel) the same for the 360 control fields with the same geometry equally spaced at one degree distance from each other in Galactic longitude and at the same latitude as M 104.

Current usage metrics show cumulative count of Article Views (full-text article views including HTML views, PDF and ePub downloads, according to the available data) and Abstracts Views on Vision4Press platform.

Data correspond to usage on the plateform after 2015. The current usage metrics is available 48-96 hours after online publication and is updated daily on week days.

Initial download of the metrics may take a while.