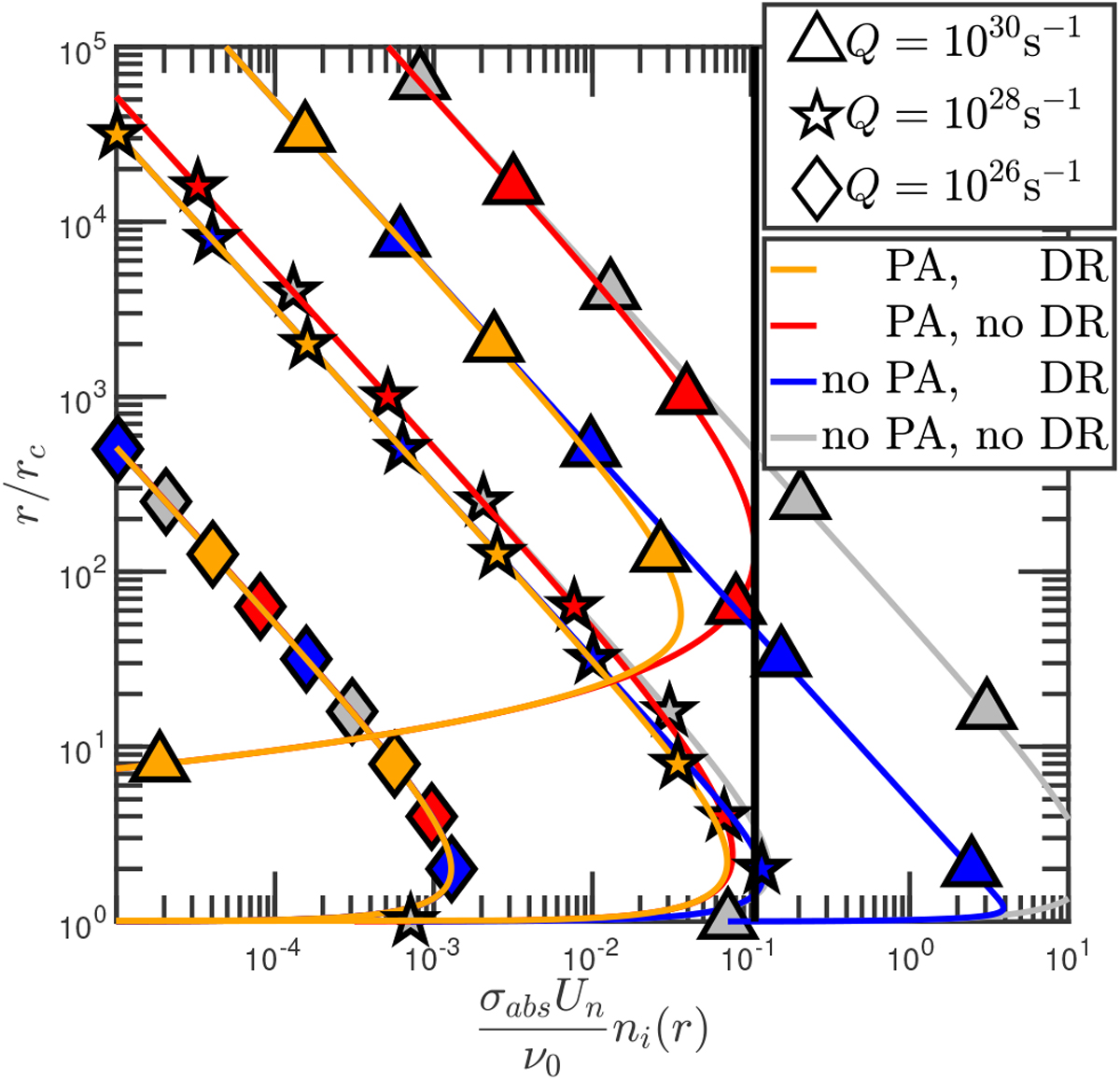
Fig. 10
 
      Ion number density as a function of the cometocentric distance normalized to rc for three different outgassing rates: 1026 s−1 (diamond), 1028 s−1 (star), and 1030 s−1 (upward-pointing triangle) for a solar zenith angle χ = π∕2. The colors correspond to different assumptions: PA and DR (yellow), PA and no DR (red), no PA and DR (blue), no PA and no DR (gray). For the e− -ion dissociative recombination, we assumed Te = 150 K. For the photoionization frequency, ν0 = 4.5 × 10−7 s−1 corresponds to the water photoionization frequency at 67P around perihelion to independently assess the effect of the outgassing rate (1.24 au). The expanding velocity is set to Un = 600 m⋅s−1.
Current usage metrics show cumulative count of Article Views (full-text article views including HTML views, PDF and ePub downloads, according to the available data) and Abstracts Views on Vision4Press platform.
Data correspond to usage on the plateform after 2015. The current usage metrics is available 48-96 hours after online publication and is updated daily on week days.
Initial download of the metrics may take a while.
