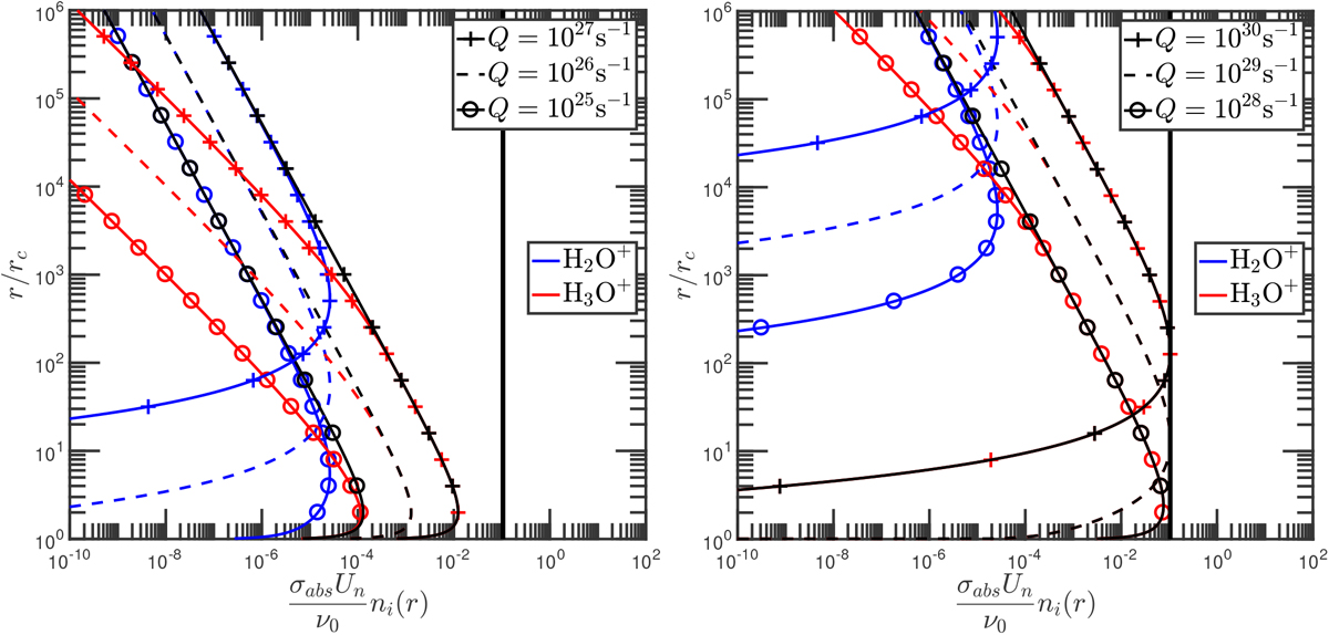
Fig. 8
 
      Total ion (black), H2O+ (blue), and H3O+ (red) ion number density profile at a solar zenith angle of χ = π∕2 and for six different outgassing rates Q: 1025 s−1 (left panel, circles), 1026 s−1 (left panel, dashed line), 1027 s−1 (left panel, pluses), 1025 s−1 (right panel, circles), 1029 s−1 (right panel, dashed line), 1030 s−1 (right panel, pluses). The number densities were scaled accordingly to be plotted as a dimensionless parameter. The vertical line corresponds to the lowest upper bound of the plasma density for χ = π∕2 in dimensionless units, i.e., 0.1657 × 2∕π ≈ 0.1055 (see Eq. (24)). The expanding velocity is set to Un = 600 m⋅s−1.
Current usage metrics show cumulative count of Article Views (full-text article views including HTML views, PDF and ePub downloads, according to the available data) and Abstracts Views on Vision4Press platform.
Data correspond to usage on the plateform after 2015. The current usage metrics is available 48-96 hours after online publication and is updated daily on week days.
Initial download of the metrics may take a while.
