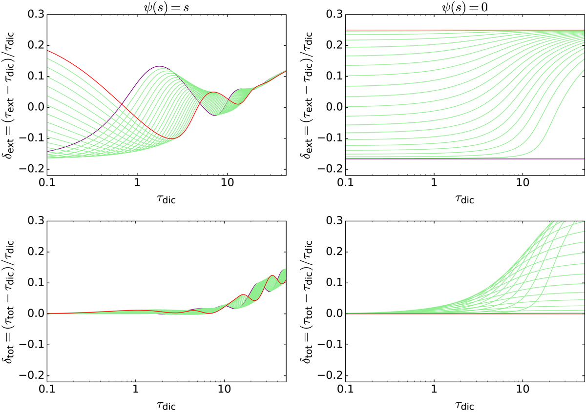
Fig. 1.
 
      Top left: relative differences δext between extinction optical depth τext and dichroic optical depth τdic for hypothetical example with density and grain alignment increasing linearly with increasing path length. The different curves correspond to different input Stokes vectors. In each case the photon package is initially fully linearly polarised, but the Stokes vector orientation θ increases in steps of 5°. The red lines corresponds to θ = 0° (Q0/I0 = 1) and the purple line to θ = 90° (Q0/I0 = −1), respectively. Bottom left: similar to top left panel, but now showing relative difference δtot between total optical depth τtot and dichroic optical depth. Right: same as panels on left, but now for model with uniform grain alignment.
Current usage metrics show cumulative count of Article Views (full-text article views including HTML views, PDF and ePub downloads, according to the available data) and Abstracts Views on Vision4Press platform.
Data correspond to usage on the plateform after 2015. The current usage metrics is available 48-96 hours after online publication and is updated daily on week days.
Initial download of the metrics may take a while.
