Free Access
    
Fig. 3.
 
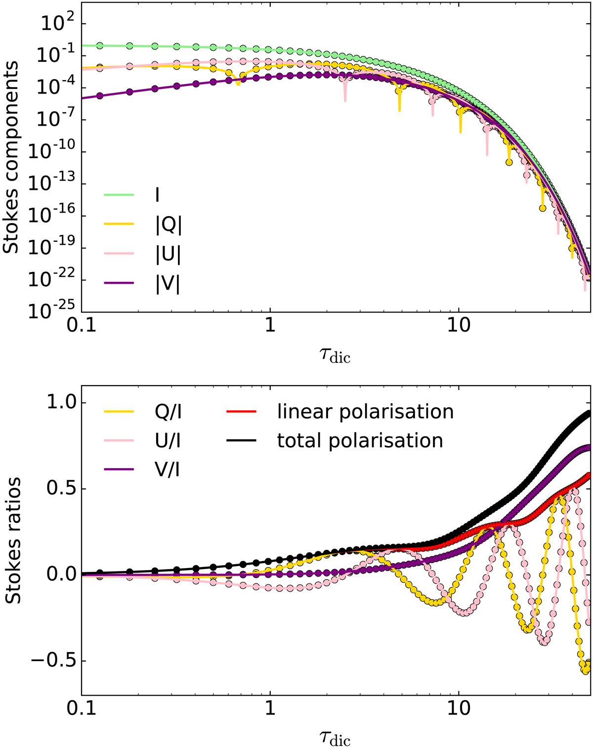
      Evolution of initially unpolarised Stokes vector propagating through medium of aligned grains where grain alignment rotates around path. The dots are the result from a Runge–Kutta numerical integration of the vector radiative transfer equation and the solid lines correspond to the method outlined in Sect. 3.
Current usage metrics show cumulative count of Article Views (full-text article views including HTML views, PDF and ePub downloads, according to the available data) and Abstracts Views on Vision4Press platform.
Data correspond to usage on the plateform after 2015. The current usage metrics is available 48-96 hours after online publication and is updated daily on week days.
Initial download of the metrics may take a while.
