Free Access
    
Fig. 1
 
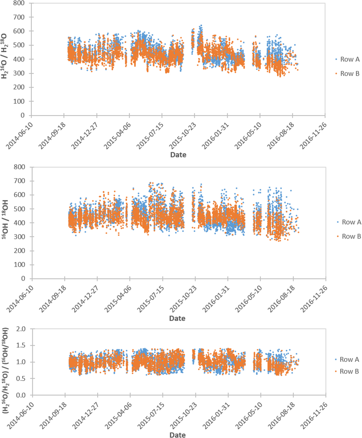
      H216O/H218O ratio (top), 16OH/18OH ratio (middle), and  ratio (bottom) over the course of the mission. See Fig. A.4 for an idea of the typical error bars on a single isotopic ratio measurement.
ratio (bottom) over the course of the mission. See Fig. A.4 for an idea of the typical error bars on a single isotopic ratio measurement.
Current usage metrics show cumulative count of Article Views (full-text article views including HTML views, PDF and ePub downloads, according to the available data) and Abstracts Views on Vision4Press platform.
Data correspond to usage on the plateform after 2015. The current usage metrics is available 48-96 hours after online publication and is updated daily on week days.
Initial download of the metrics may take a while.
