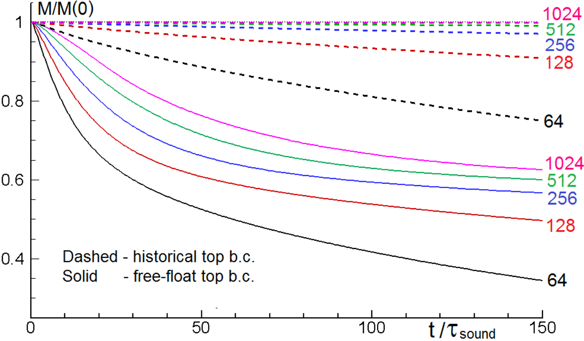
Fig. 1.
 
      Total mass in 1D hydrostatic slab, normalized by the initial mass (M(t)/M(t = 0), y-axis), as function of time (x-axis, in τs), integrated with the standard scheme, using either historical (dashed lines) or free-float (solid lines) boundary conditions and different meshes (colors; number of grid cells). The well-balanced scheme maintains M(t)/M(t = 0) = 1 to machine precision in all cases.
Current usage metrics show cumulative count of Article Views (full-text article views including HTML views, PDF and ePub downloads, according to the available data) and Abstracts Views on Vision4Press platform.
Data correspond to usage on the plateform after 2015. The current usage metrics is available 48-96 hours after online publication and is updated daily on week days.
Initial download of the metrics may take a while.
