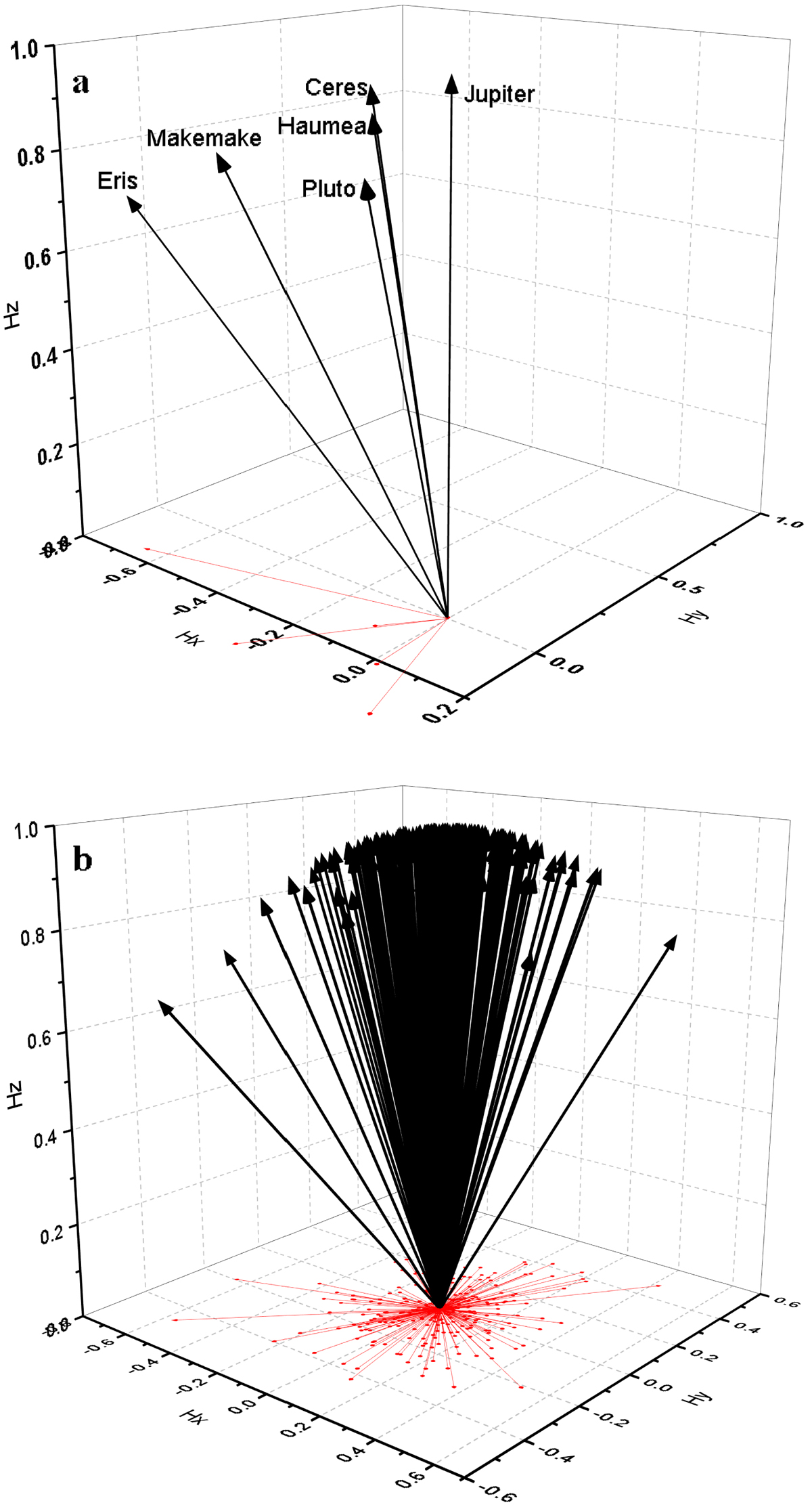
Fig. 2.
 
      Distribution of the angular momentum vectors of the most massive minor planets. The reference plane Hx–Hy is chosen to be the invariant plane of the Sun-planets system. For each object, the angular momentum vector H has been scaled by its module |H|, that is, displaying the unit vector  , such that the several orders of magnitude difference in the lengths of arrows can be avoided. The red lines are the projections of
, such that the several orders of magnitude difference in the lengths of arrows can be avoided. The red lines are the projections of  on the Hx–Hy plane. Panel a: for the five dwarf planets, together with Jupiter. Panel b: for the 279 minor planets with measured masses from Sect. 2.1.1.
 on the Hx–Hy plane. Panel a: for the five dwarf planets, together with Jupiter. Panel b: for the 279 minor planets with measured masses from Sect. 2.1.1.
Current usage metrics show cumulative count of Article Views (full-text article views including HTML views, PDF and ePub downloads, according to the available data) and Abstracts Views on Vision4Press platform.
Data correspond to usage on the plateform after 2015. The current usage metrics is available 48-96 hours after online publication and is updated daily on week days.
Initial download of the metrics may take a while.
