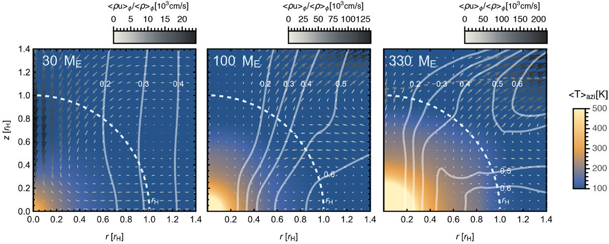
Fig. 1
 
      Envelope of a growing planet at three different mass stages (left 30ME,
centre 100ME,
right 330ME). The azimuthally-averaged density-weighted mean velocity ( ) in the vertical and radial direction is represented by the vector field, using a linear scaling for the magnitude that is also given by the greyscale spectrum bar on the top of each panel. The contours show the angular momentum ratio with respect to Keplerian rotation, measured in non-rotating co-moving frame. The temperature field is colour coded in the background. Left panel: 30 ME -planet experiencing a high mass flux through the poles, which moves away from the planet in the midplane (Lambrechts & Lega 2017). Centre panel: higher mass planets also experience a high flux of gas entering through the poles, but the processof gap formation changes the mass transport and the angular momentum distribution. Right panel: Jupiter-mass planet with the horizontal grey dashed line marking where the azimuthally averaged optical depth reaches
τ = 2∕3.
) in the vertical and radial direction is represented by the vector field, using a linear scaling for the magnitude that is also given by the greyscale spectrum bar on the top of each panel. The contours show the angular momentum ratio with respect to Keplerian rotation, measured in non-rotating co-moving frame. The temperature field is colour coded in the background. Left panel: 30 ME -planet experiencing a high mass flux through the poles, which moves away from the planet in the midplane (Lambrechts & Lega 2017). Centre panel: higher mass planets also experience a high flux of gas entering through the poles, but the processof gap formation changes the mass transport and the angular momentum distribution. Right panel: Jupiter-mass planet with the horizontal grey dashed line marking where the azimuthally averaged optical depth reaches
τ = 2∕3.
Current usage metrics show cumulative count of Article Views (full-text article views including HTML views, PDF and ePub downloads, according to the available data) and Abstracts Views on Vision4Press platform.
Data correspond to usage on the plateform after 2015. The current usage metrics is available 48-96 hours after online publication and is updated daily on week days.
Initial download of the metrics may take a while.
