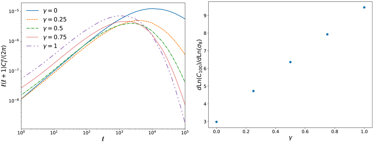
Fig. 4.
 
      Left: angular power spectra of the Faraday rotation angle,  , when adding a mass dependence for the magnetic field strength at the centre scaling as B = Bp(M/Mp)γ, where Mp = 5 × 1014 M⊙, Bp = 3 μG, and for different values of γ. Right: scaling of the angular power spectra with σ8,
, when adding a mass dependence for the magnetic field strength at the centre scaling as B = Bp(M/Mp)γ, where Mp = 5 × 1014 M⊙, Bp = 3 μG, and for different values of γ. Right: scaling of the angular power spectra with σ8,  , as a function of γ. We chose to plot this effect for ℓ = 100 as
, as a function of γ. We chose to plot this effect for ℓ = 100 as  depends more strongly on σ8 for low ℓ values.
 depends more strongly on σ8 for low ℓ values.
Current usage metrics show cumulative count of Article Views (full-text article views including HTML views, PDF and ePub downloads, according to the available data) and Abstracts Views on Vision4Press platform.
Data correspond to usage on the plateform after 2015. The current usage metrics is available 48-96 hours after online publication and is updated daily on week days.
Initial download of the metrics may take a while.
