Open Access
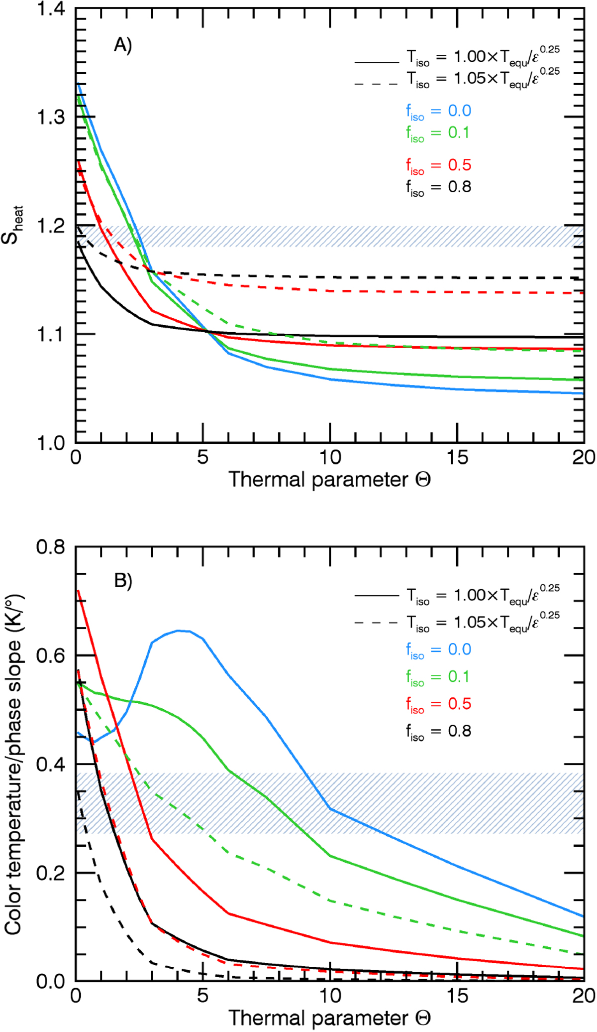
Fig. 10
 
      Superheating factor Sheat (A) and phase linear dependence of the color temperature (B) from the thermal model parameterized by the thermal parameter Θ, the optical depth contribution of isothermal particles fiso, and their physical temperature Tiso. The shaded areas correspond to the measurements in the coma of 67P.
Current usage metrics show cumulative count of Article Views (full-text article views including HTML views, PDF and ePub downloads, according to the available data) and Abstracts Views on Vision4Press platform.
Data correspond to usage on the plateform after 2015. The current usage metrics is available 48-96 hours after online publication and is updated daily on week days.
Initial download of the metrics may take a while.
