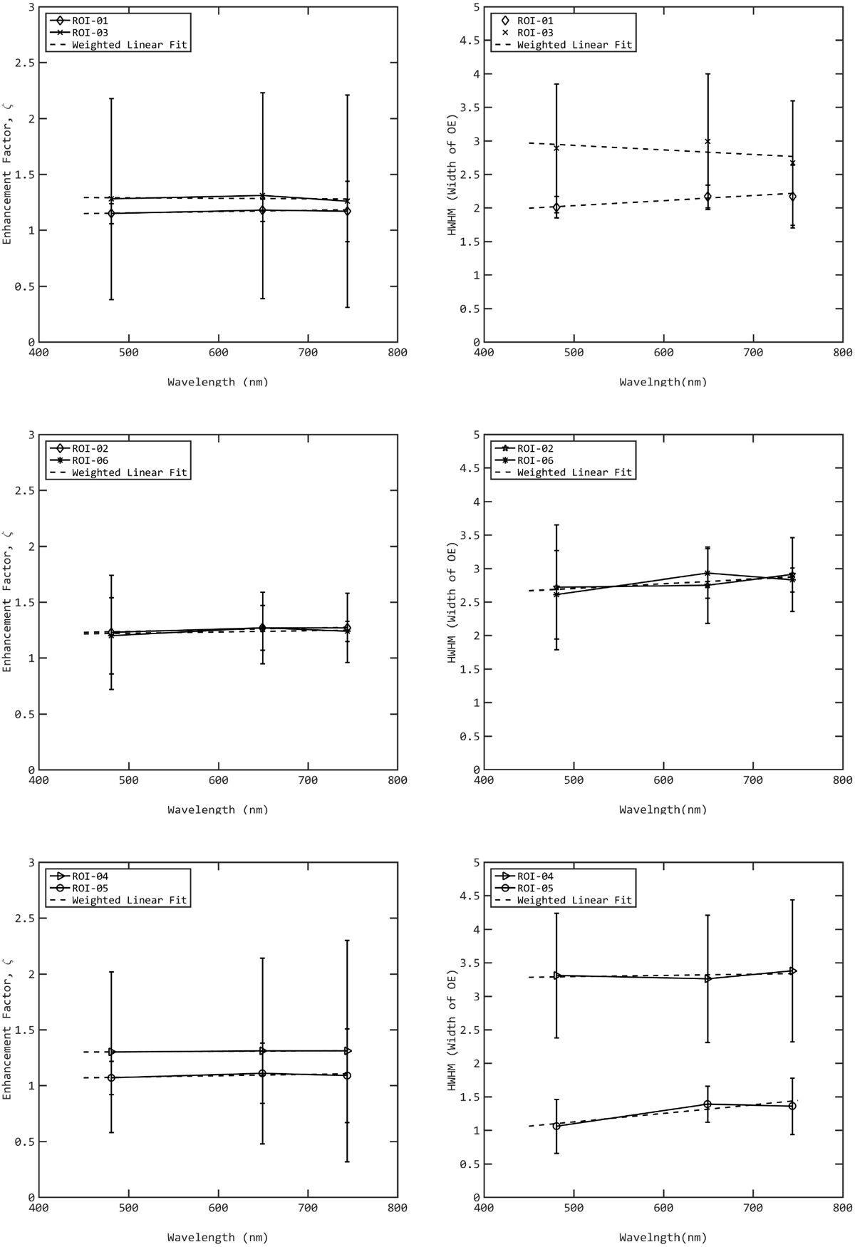
Fig. 4
 
      Best-fit value of OE parameters (HWHM and ζ) with respect to the wavelength for six ROIs. Each plot presents two ROIs that are grouped based on the different geomorphological classes, smooth regions (ROIs 1 and 3), talus regions (ROIs 2 and 6), and consolidated regions (ROIs 4 and 5). The dashed lines represent the weighted linear fit. Different symbols are used for different ROIs. Left column: wavelength dependence of ζ. Right column: wavelength dependence of the HWHM.
Current usage metrics show cumulative count of Article Views (full-text article views including HTML views, PDF and ePub downloads, according to the available data) and Abstracts Views on Vision4Press platform.
Data correspond to usage on the plateform after 2015. The current usage metrics is available 48-96 hours after online publication and is updated daily on week days.
Initial download of the metrics may take a while.
