Open Access
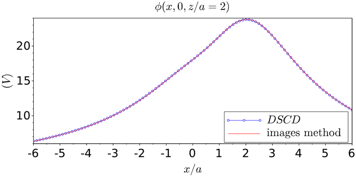
Fig. A.3
 
      Electrostatic potential computed along a line parallel to the x-axis according to the DSCD method and by the method of electrostatic images for the configuration of Fig. A.2 with d = 2a, q = 1 C, y = 0, and z = 2a. The potential at the surface of the sphere reaches 25 V according to the computations.
Current usage metrics show cumulative count of Article Views (full-text article views including HTML views, PDF and ePub downloads, according to the available data) and Abstracts Views on Vision4Press platform.
Data correspond to usage on the plateform after 2015. The current usage metrics is available 48-96 hours after online publication and is updated daily on week days.
Initial download of the metrics may take a while.
