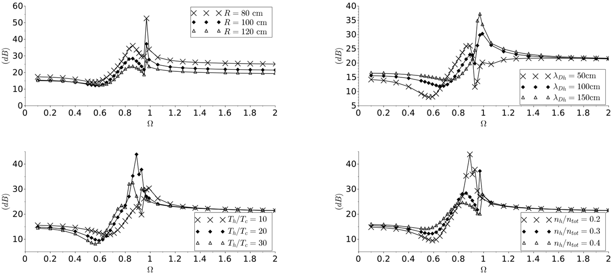
Fig. 5
 
      Sensitivity of the simulated response of the probe RPC-MIP, operated in SDL, in a double-Maxwellian evdf plasma. The probe operates with a full emission level and is isolated from the plasma by the vacuum sheath presented in Fig. 3. Top left: influence of R. λDh = 1 m, nh ∕ntot = 0.3 and Th ∕Tc = 20. Top right: influence of λDh. R = 1 m, nh ∕ntot = 0.2 and Th ∕Tc = 10. Bottom left: influence of Th∕Tc. λDh = 1 m, nh ∕ntot = 0.2 and R = 1 m. Bottom right: influence of nh∕ntot. λDh = 1 m, Th ∕Tc = 20, and R = 1 m.
Current usage metrics show cumulative count of Article Views (full-text article views including HTML views, PDF and ePub downloads, according to the available data) and Abstracts Views on Vision4Press platform.
Data correspond to usage on the plateform after 2015. The current usage metrics is available 48-96 hours after online publication and is updated daily on week days.
Initial download of the metrics may take a while.
