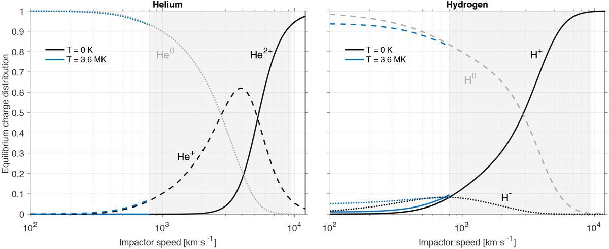
Fig. 2
 
      Normalized equilibrium charge fractions of helium (left) and hydrogen (right) in H2O gas as a function of solar wind speed. The fraction of energetic neutral atoms (He0 and H0) is indicated as a gray line. Corresponding Maxwell-averaged solar wind distributions for an ion temperature T = 3.6 × 106 K are plotted in blue in the 100–800 km s−1 solar wind speed range. The grayed-out region above 800 km s−1 shows where the temperature effects are not calculated because of fitting limitations.
Current usage metrics show cumulative count of Article Views (full-text article views including HTML views, PDF and ePub downloads, according to the available data) and Abstracts Views on Vision4Press platform.
Data correspond to usage on the plateform after 2015. The current usage metrics is available 48-96 hours after online publication and is updated daily on week days.
Initial download of the metrics may take a while.
