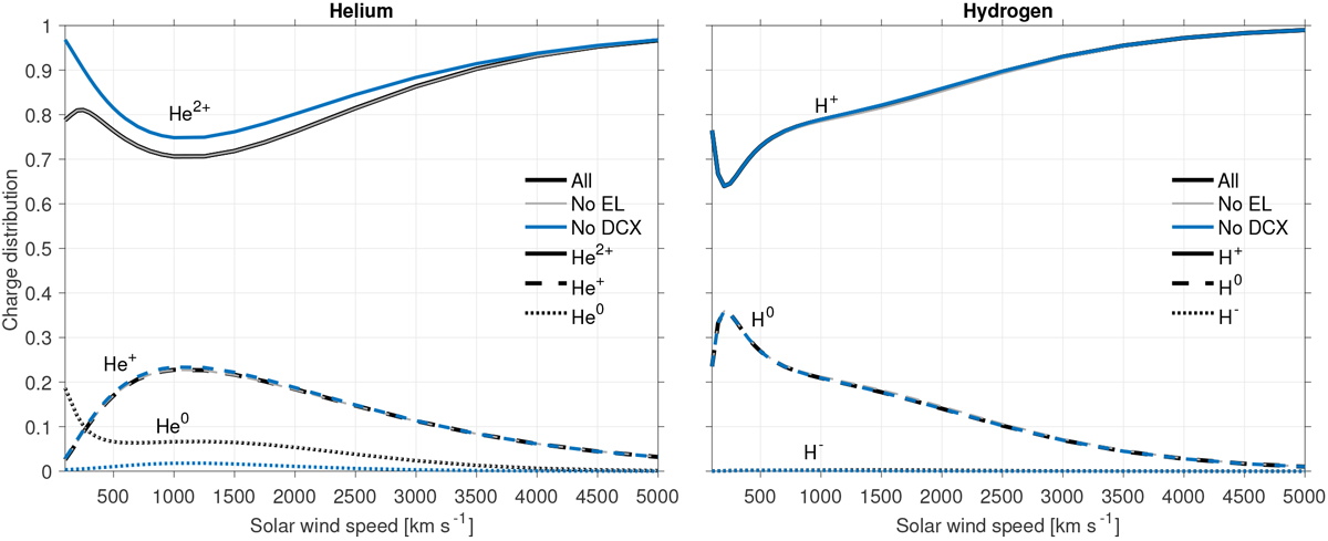
Fig. 5
 
      Normalized charge distributions of helium (left) and hydrogen (right) and effect of individual processes for a cometocentric distance of 50 km and a heliocentric distance of 2 AU. Double charge exchange (labeled “DCX”) and electron loss (labeled “EL”) cross sections are sequentially set to zero and compared to the full set (labeled “All”). For hydrogen species, differences between all three runs are minimal. Solar wind speeds range from 100 to 5000 km s−1.
Current usage metrics show cumulative count of Article Views (full-text article views including HTML views, PDF and ePub downloads, according to the available data) and Abstracts Views on Vision4Press platform.
Data correspond to usage on the plateform after 2015. The current usage metrics is available 48-96 hours after online publication and is updated daily on week days.
Initial download of the metrics may take a while.
