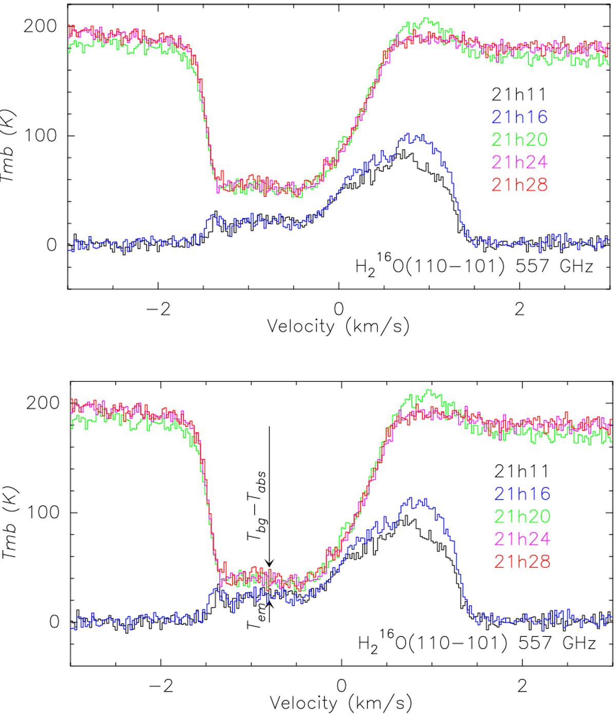
Fig. 2
 
      Spectra of H O obtained with MIRO on 24 September 2015. The five spectra are 4 min averages that were obtained during a sequence where the line of sight moved from limb sounding to nadir viewing, and the background changed from 0 to 200 K. The line is saturated between
− 1.3 and − 0.4 km s−1
, where its intensity corresponds to the gas temperature near the spacecraft. Top: before applying the side-band gain correction. Bottom: after applying this correction.
O obtained with MIRO on 24 September 2015. The five spectra are 4 min averages that were obtained during a sequence where the line of sight moved from limb sounding to nadir viewing, and the background changed from 0 to 200 K. The line is saturated between
− 1.3 and − 0.4 km s−1
, where its intensity corresponds to the gas temperature near the spacecraft. Top: before applying the side-band gain correction. Bottom: after applying this correction.
Current usage metrics show cumulative count of Article Views (full-text article views including HTML views, PDF and ePub downloads, according to the available data) and Abstracts Views on Vision4Press platform.
Data correspond to usage on the plateform after 2015. The current usage metrics is available 48-96 hours after online publication and is updated daily on week days.
Initial download of the metrics may take a while.
