Free Access
    
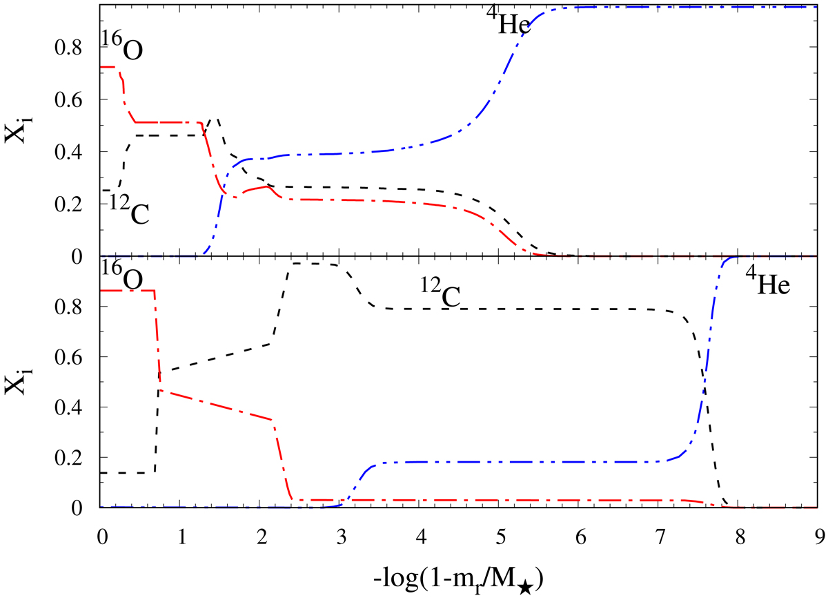
Fig. 1.
 
      Upper panel: inner distribution of O, C, and He in terms of the outer mass fraction corresponding to the expectations from a typical DBV model of mass ∼0.58 M⊙ resulting from the complete progenitor evolution. Bottom panel: same as above, but for the asteroseismic model for the DBV KIC 08626021 of Giammichele et al. (2018).
Current usage metrics show cumulative count of Article Views (full-text article views including HTML views, PDF and ePub downloads, according to the available data) and Abstracts Views on Vision4Press platform.
Data correspond to usage on the plateform after 2015. The current usage metrics is available 48-96 hours after online publication and is updated daily on week days.
Initial download of the metrics may take a while.
