Free Access
    
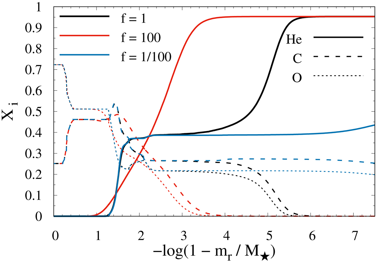
Fig. 3.
 
      Chemical profiles for He, C, and O of our DBV evolutionary models (∼29 000 K) in terms of the outer mass fraction, resulting from different efficiency of element diffusion. The values of the quantity f indicates the multiplicative factor of the diffusion efficiency with respect to the standard value (f = 1).
Current usage metrics show cumulative count of Article Views (full-text article views including HTML views, PDF and ePub downloads, according to the available data) and Abstracts Views on Vision4Press platform.
Data correspond to usage on the plateform after 2015. The current usage metrics is available 48-96 hours after online publication and is updated daily on week days.
Initial download of the metrics may take a while.
